中国节能协会城轨交通节能专业专委会
中国勘察设计协会轨道交通分会
中国土木工程学会轨道交通分会
中国城市轨道交通协会设计咨询专业委员会

学术前沿

广州二号线江南西站南站厅基坑支护结构设计

发布日期:2015-06-17 22:08

广州地铁二号线江南西站南站厅基坑支护结构设计


摘 要; 介绍基坑工程中组合式支护结构的设计方法
       在基坑工程支护结构的设计中,当采用单一支护结构体系不能满足基坑支护的安全、经济及工期要求时,可考虑在同一基坑中采用两种或两种以上不同支护型式的组合式支护体系,如在基坑工程中经常采用的上部放坡或土钉墙+下部桩墙、上部桩墙+下部锚喷支护等。在广州地铁二号线江南西站南站厅基坑支护结构设计中,结合场地基岩面较高、起伏大的实际情况,在南站厅围护结构设计中采用了上部排桩+下部锚喷支护的阶梯型组合式支护结构,本文介绍了此类支护结构的设计方法以供探讨。
一、概 述
       广州地铁二号线江南西站位于江南大道与江南西路交叉路口以北的江南大道下,车站全长180.7m,呈南北走向。采用了站台与站厅分离布置的方式,站台层由两个矿山法施工的单跨单层马蹄形隧道组成,左右线间距28.2m,站厅及设备用房位于车站南北两端,为地下三层框架结构,南、北两个站厅规模相当,基坑开挖尺寸分别为51.3x18.2m、52.5x19.2m,基坑底面埋深24m。
       车站所在路口西北角为二十层南海石油大厦,其北为高层住宅和南丰商场,东北角为多层住宅和邻街商业。沿江南西路南侧是海珠涌。由于江南大道为城市南北主干道,站址地面交通繁忙,为确保交通畅通,采用盖挖顺作法施工。其作业顺序是:先后分三次倒边作好外围结构,架设军用梁及路面盖板覆盖路面,之后恢复地面交通,在临时路面下方顺序进行土方开挖及车站主体结构的作业。

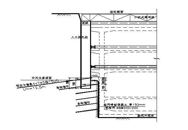
       虽然南、北站厅的基坑规模、形式相同,但由于场地地层起伏较大,南站厅所处东湖段地层强风化带顶面埋深较浅,埋深只有8.3m~13.6m,北站厅所处西濠段地层强风化带顶面埋深较深,为26.6m~27.5m。针对不同的工程地质条件,在围护结构设计中因地制宜,分别采用了不同的支护形式。北站厅风化带埋深较深,采用直径1.4m、间距1.6m的排桩支护,南站厅风化带顶面埋深较浅,采用上部直径1.2m、间距1.5m排桩+下部锚喷的阶梯型组合式支护结构。
二、地质概况
(一)地貌、地层
       场地原始地貌为残丘和平缓坡地,后经填筑平整为宽阔街道,车站南端临海珠涌,地表普遍为厚0.2m的水泥路面。本站场属白垩系红砂岩地层,基岩主要为泥质粉砂岩,局部为泥岩、泥灰岩。基岩面起伏较大,南段东湖段地层强风化带顶面埋深8.3m~13.6m,北段西濠段地层强风化带顶面埋深26.6m~27.5m。两岩段强度差异大,其中东湖段地层岩石较软,西濠段地层含钙质较多,强度相对较高。场区内未发现断层破碎带,岩石裂隙不发育。
(二)工程地质分层
(1)人工填土:主要为杂填土,层厚1.0~7.2m之间,较常见为2.5~4.0m。
(2-2)淤泥层:为灰黑色淤泥质土,土质较均匀细腻,粘性强,下部常有粉细砂,主要分布在海珠涌及其两侧附近。
(4-1)冲积粘性土层:红白色粉质粘土,软~可塑。层厚0.5~9.5m,顶面埋深1.0~5.9m。
(4-2)冲积砂层:灰~灰白含粗砂、砾砂、中细砂。层厚0.5~1.6m,顶面埋深5.0~7.1m。
(5-1)残积可塑土层:棕红色粉土、粉质粘土,可塑,砂质含量高,风化透彻。层厚0.9~14.1m,顶面埋深1.7~10.5m。
(5-2)残积土硬塑层:为紫红~灰色粉质粘土、粘土,粘性差,硬塑。层厚0.5~7.6m,顶面埋深5.1~20.3m。
(6)全风化带:全风化泥岩、粉细砂岩、砂岩、砂砾岩。原岩矿物大多风化成土。层厚0.5~8.2m,顶面埋深7~23.5m。
(7)强风化带:强风化泥岩、砂岩、泥质粉砂岩。场区普遍分布,层厚1.2~23.5m,一般厚度为1.4~4m。顶面埋深6.4~27.5m。
(8)中风化带:中风化泥岩、砂岩、泥灰岩。岩石裂隙不发育,完整性较好,较硬。本层分布广,厚度变化大。层厚2.0~17.6m,顶面埋深7.7~31.5m。
(9)微风化带:微风化泥质砂岩、泥岩、泥灰岩。岩石完整性好。层顶面埋深17.5~34.5m。
       本工程场地基岩强风化岩风化裂隙发育,但延伸短,产状杂乱,裂隙面多有泥质、钙质充填及铁锈质渲染;中~微风化岩石裂隙较发育,主要为倾角5°~30°的缓倾角裂隙,少量中等及陡倾角裂隙,裂隙面多充填钙质薄膜,沿裂隙面岩层易开裂成块状。岩层产状受珠江向斜构造的控制,岩层往北倾斜,倾角5°~35°。
(三)水文地质
       地下水有孔隙水和裂隙水       两种。孔隙水主要储存于第四系地层中。土层透水性差,富水性差,水量较贫。地下稳定水位埋深为2.2~6.0m。基岩裂隙水贫乏。地下水对砼无侵蚀性。
(四)工程地质评价
       本站场地质条件简单~较简单。
各土层物理力学指标

三、车站南站厅基坑围护结构方案

       南站厅围护结构,对于中风化岩层以上的上覆土层,围护结构由排桩及钢支撑组成,下部的中风化岩层边坡采用锚喷支护。
       车站位于交通繁忙的江南大道下方,围护结构的施工要尽可能减小对地面交通及环境的干扰。根据广州地区的工程实践经验,人工挖孔桩具有刚度大、布置灵活、施工器具简单、占地面积小、噪音及费用较低等优点,因此站厅基坑排桩采用人工挖孔灌注桩。排桩桩径1.2m,护壁厚0.15m,桩间距1.5m,桩身插入中风化岩2m。根据排桩围护的基坑深度,分别设置2~4道Φ600钢管支撑,钢管壁厚14mm。由于上覆土层中有淤泥及细砂层,地下水与海珠涌相联系,因此在排桩外侧设置一道定喷(摆喷)桩,起到基坑外止水帷幕的作用。
       下部基坑的锚喷支护由系统锚杆及喷射混凝土组成。系统锚杆采用φ22@1.5mx1.5m的
      

  

水泥砂浆锚杆,锚杆长3m,倾角15°,钻孔直径40mm。对于岩石破碎地段或软弱夹层及桩前岩石采用5m长φ22@1.5mx1.5m锚杆进行加固。C20喷射混凝土厚度0.15m,钢筋网采用φ8@200mmx200mm。围护桩根部设置一道4x7φ5间距1.5m的预应力1860级高强锚索,倾角15°,钻孔直径130mm。预应力锚索锚固段长度12.5m,自由段长度4m。由于岩石边坡顶部拉应力的存在,顶部易出现拉伸裂隙,因此在桩脚处设置5m长φ22@1.5mx1.5m锚杆进行加固,以加强岩石边坡顶部的支护结构。
四、围护结构设计中需要解决的问题
       阶梯型组合支护结构是在基坑侧壁上、下分别采用不同的支护型式的结构,各支护结构分别按单一的结构进行设计。随着基坑的开挖,支护结构体系发生变化,因此上、下部支护结构单元除了满足按单一结构作用的条件外,还要考虑各支护结构单元的相互作用。计算下部支护结构的荷载时,应考虑上部支护结构及后侧土体的超载作用。
(一)排桩入土深度确定
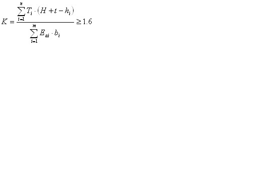
       一般支护结构入土深度必须满足墙体抗滑动和抗倾覆稳定、坑底隆起稳定以及坑底抗渗流稳定的要求。本工程上部基坑围护结构型式为设置2~4道支撑的多支点排桩,桩端均插入中风化岩层中,基坑底面为厚度较大、较均匀的中风化岩层,基坑失稳形态以由于桩底岩体发生剪切破坏造成基坑整体滑动失稳为主,因此采用圆弧滑动简单条分法确定入土深度。
假定基坑失稳的滑动面为圆柱面,按平面问题进行分析,将滑动面以上土体等分为n个土条,根据极限平衡条件求得土体对滑动面原点O的抗滑力矩与下滑力矩,抗滑力矩与下滑力矩之比即为稳定安全系数K。


Wi — 第i土条的重量;
q — 作用于第i土条上的地面超载;
ci ji— 第i土条滑动面土层的内聚力、内摩擦角;
θi — 第i土条弧线中点切线与水平面夹角;
li bi — 第i土条的弧长、宽度。

       根据基坑开挖深度、支撑体系、岩层风化程度,结合广州地区类似工程经验,初步拟定排桩嵌入中风化层2m,按总应力法求得基坑稳定安全系数K如下表:

       在军用梁、临时路面、地面超载及桩身自重等竖向荷载作用下,桩底压应力为1038kPa,小于岩石地基允许承载力。为防止桩底泥岩遇水软化,避免地下水沿桩与岩土的界面渗入桩底,在排桩外侧设置一道摆喷桩止水帷幕。
(二)排桩支护结构计算
       多支点排桩的受力与基坑开挖过程和架设支撑的时间、顺序有密切关系,支撑架设之前排桩已经产生了先期位移和内力。如采用等值梁法简化计算,其假定条件与排桩在施工过程中的受力情况不符,因此采用弹性地基梁杆系有限元法,根据施工顺序分阶段按增量法原理进行内力计算。
       取1m宽度支护结构按平面问题分析,排桩在基底以上部分采用梁单元,基底以下部分作为文克勒弹性地基梁,将基坑开挖面以下土体视为弹性变形介质,其水平基床系数按m法确定,并在计算中对土弹簧刚度取值加以限制,最大值不超过实际工程勘察结果。支撑按弹性支座考虑。施工期间排桩背侧的主动土压力按朗金公式计算,土压力随基坑开挖深度增加逐渐增加,对地下水位以下的土体采用总应力强度指标水土分算。
       根据实际施工顺序将每一开挖阶段作为计算工况,每一工况需考虑前后工况土压力的增加量以及位移增量,当前工况下的实际内力和位移为与前几步工况内力和位移增量的累计值。此种计算方法反映了土压力随基坑开挖深度增加逐渐增加的实际情况,在计算中计入结构的先期位移值以及支撑的弹性压缩,符合先变形、后支撑的实际施工工况。为减少桩身在

基坑开挖期间的位移,对钢支撑施加设计轴力50%的预应力,在计算中考虑支撑预应力的作用。
排桩内力、位移计算结果

整体稳定性计算结果

排桩结构的构件按其在施工和使用的不同阶段可能出现的最大内力进行截面设计。内力设计值按下式确定:
M=1.25γ0Mu
M —— 单桩桩身弯矩设计值;
Mu—— 按土压力强度标准值计算的桩身弯矩标准值;
γ0—— 基坑侧壁重要性系数。
       排桩钢筋配置按弯矩方向采用沿圆周非均匀布置,将圆截面同刚度等代成矩形截面(b = h = 0.876 d ),按《混凝土结构设计规范》中矩形截面受弯构件承载力公式计算。如WZ-1桩弯矩设计值为1917 kN·m(-995 kN·m),等代成矩形截面按受弯构件计算出受拉钢筋面积As=6905mm2(As=3376mm2),实配钢筋13Φ28(9Φ28),分别在正负弯矩方向受拉区(约120°范围)内按计算结果布置钢筋,其余部位按构造要求配置钢筋。
(三)桩前岩体开挖后排桩支护结构分析
       桩前岩体开挖后,由于失去被动土压力,结构受力体系发生变化,因此需对排桩支护结构体系进行结构计算及稳定性分析。


1. 排桩支护结构计算
       在原支护结构体系的基础上增加锚索的水平支撑力,并去掉被动区水平方向的土弹簧,仍采用增量法计算支护结构的内力与变形。求得锚索最大水平支撑力标准值为280kN/m,并按下式确定锚索锚固段长度为12.5m。根据岩体可能发生的破裂面确定锚索自由段长度为4m。
N ——锚杆轴向拉力设计值;
D —— 锚杆锚固体直径;
Lm —— 锚固段长度;
τ —— 岩体与锚固体间极限摩阻力标准值

2. 抗滑移稳定性验算
排桩的抗滑移稳定性按下式验算:

G —— 桩身自重
μ——桩底与基岩的摩擦系数,对于软质岩石取0.4~0.6
Ti —— 各支点水平力标准值
Eai —— 各土层主动土压力
3. 抗倾覆稳定性验算
       各土层主动土压力Ea,各支点水平力标准值Ti作用下,对桩端B点的力矩比需满足下式:


(四)岩石边坡稳定性分析
       根据场地工程地质条件及支护形式,本工程岩石边坡在上覆土层荷载作用下,可能有两种破坏形式:
       一是沿软弱夹层或结构面控制的可能滑动面发生剪切破坏,滑动面以上的岩体沿此平面下滑,造成了边坡破坏,即平移滑动,此种滑坡的特点为滑动面为直线或折线形。MBZ3-9地质钻孔显示,在中风化泥岩中,埋深19~19.6m处夹强风化岩,岩芯呈碎块状,RQD=30%。对于基坑南侧边坡,强风化岩软弱夹层外倾,倾角小于坡角,稳定性较差,所以该软弱夹层面为边坡的危险滑动面。由于排桩除承受水平土压力外,临时路面的竖向荷载通过排桩传至基底,造成桩底基岩应力集中,在集中竖向荷载作用下可能会沿基岩结构面发生剪切破坏。
       二是在泥岩这种岩性大致均一的软质岩层中易发生滑动面为圆弧形或近似圆弧形的均质滑坡,即旋转滑动。本工程岩石边坡主要为中风化泥岩,岩质较软,易发生旋转滑动破坏。
       因此在岩石边坡的稳定性分析中,需根据以上两种破坏形式,按滑动面的形状采用合理的计算指标与公式进行验算。
 
       对于平移滑动破坏,取被滑动面、临空面及中风化层顶面切割而成的三角形不稳定结构体作为隔离体,采用块体极限平衡方法进行稳定性验算,边坡的安全系数K为作用于滑动面的抗滑力与滑动力之比。为便于计算,将岩层以上土体的滑动面简化为库仑破坏面倾角的直线形,滑动面倾角为45°+φ/2,并采用分段计算剩余下滑力的方法考虑相邻岩土体的荷载作用。

       分段计算剩余下滑力的方法:将滑坡体沿滑动面折线转折处条沿主轴方向分成若干块段,取每一段条块作为隔离体按极限平衡理论,从上至下逐块计算推力,每一块体向下滑动的力与岩土体阻挡下滑的力之差,即剩余下滑力。剩余下滑力逐块向下传递,当最终一块土体的剩余下滑力为负值或零时,表示整个边坡体是稳定的。剩余下滑力计算公式为:



式中 Ei,Ei-1—第i块和第i-1块岩土体的剩余下滑力;
   k—安全系数,取1.05~1.25;
Wi—第i条块岩土体的重量;
Qi—第i条块岩土体的地面超载;
   θi—第i块和第i-1块岩土体的滑动面与水平面的夹角;
φi—第i块岩土体沿滑动面岩土的内摩擦角,取残余抗剪强度;
   ci —第i块岩土体沿滑动面岩土的内聚力,取残余抗剪强度;
   li —第i块岩土体滑动面长度;
   ψ—传递系数,ψ=cos(θi-1-θi)-sin(θi-1-θi) tgφ;
Tm—锚杆拉力,α—锚杆倾角

       对于岩体沿弧形滑面的旋转滑动,采用简单条分法进行稳定性验算,中风化层以上覆土按超载考虑。

岩石边坡抗滑动安全系数 

五、结 论

       针对工程场地基岩面较高的工程地质特点,在围护结构设计中因地制宜,采用了上部排桩+下部锚喷支护的阶梯型组合式支护结构,既降低了工程造价,又缩短了工期。由于岩层的复杂性造成当前对岩体结构的认识还不一致,在工程设计中通过调查分析,根据场地工程地质条件,结合工程经验类比,进行简化计算分析并适当提高安全系数基本能满足安全要求。
本文的编写得到王元湘、黄美群高工的大力支持帮助,在此表示感谢!
参考文献
[1] 刘建航,侯学渊.基坑工程手册:中国建筑工业出版社
[2] 重庆建筑工程学院,同济大学.岩体力学:中国建筑工业出版社
[3] [澳] I.K.LEE.W.WHITW.O.G.INGLES. 岩土工程.俞调梅.叶书麟.曹名葆译校:中国建筑工业出版社