中国节能协会城轨交通节能专业专委会
中国勘察设计协会轨道交通分会
中国土木工程学会轨道交通分会
中国城市轨道交通协会设计咨询专业委员会

行业资讯

有控放气措施下含浅层气地层的一维变形

发布日期:2016-05-03 20:10

有控放气措施下含浅层气地层的一维变形
 
 要:人为控制性放气是杭州地铁工程施工前防治浅层气地质灾害的必要措施。通过对浅层气藏形成中的水气运移过程分析可知,气藏原始包气带内的水压力和吸力沿厚度呈线性分布,孔隙水压力的大小与其相同位置处的静水压力相当;借助储层土体的室内土-水特征曲线并结合现场勘探资料,能够获得气藏初始饱和度分布。在分析有控放气措施下气藏内部水气运移基础上,利用 GDS 非饱和应力路径三轴系统地研究了气体释放过程中储气砂土的湿化变形,并给出了气体释放引起的含气地层沉降变形的预测方法。结果表明,在经历了形成过程中的自然脱湿后,储集层砂土被进一步压密,而工程放气措施引起的水浸或再吸湿过程中,单由饱和度或吸力减小所引起的砂土湿化变形量很小,可忽略其工程影响;有控放气措施下,由气体释放引起的浅层含气地层沉降沿气藏厚度自上而下依次递减,总沉降量约为气藏总厚度的 1‰~5‰。
关键词:浅层气;储气砂;气体释放;湿化变形;沉降
 
1
      在目前正在营建的杭州地铁工程在钱塘江越江区段和钱塘江南岸地铁区间的地质勘探中发现,地面下15~30 m和江底范围内赋存有压力较高的可燃气体土层。相当多的勘探孔伴有喷气、喷水和冒砂现象,喷出地面高度可达9 m左右,持续时间0.5~4.0 h不等,点燃后见明火,现场测试气体压力约0.3~0.4 MPa。进一步勘探表明,地铁工程遭遇的正是广泛分布于该区域地下浅层天然气气藏。
      大量地质钻井资料和已有的研究表明,杭州及杭州湾地区的第四纪全新世和晚新世地层中广泛分布有这种超浅层天然气藏[1–2]。气藏埋深一般小于60 m,气压可高达0.5~0.6 MPa,气体成分90%以上为甲烷,并含少量的氮和二氧化碳,乙烷以上δ13 C1小于-55‰,属于典型的未受重大次生作用影响的原生甲烷型生物成因气藏[3]。气体主要储集于松散未胶结砂层、砂透镜体或贝壳砂层中,可称之为浅层含气砂或储气砂。储集层厚1~10 m不等,其上覆有厚度较大的饱和海相淤泥层,既是良好的产气层又是天然的封盖层。含浅层气土层因分布广、埋深浅,所含气体具备较高的压力,且易燃、易爆,对杭州地铁工程的建设和正常使用构成严重威胁。
      我国20世纪70年代起在沿江水利设施、上海地下空间开发利用,以及著名的杭州湾跨海大桥等工程的建设中都曾相继出现过因地下浅层气出逸导致的诸如地基失稳、不均匀沉陷、桩基承载力下降以及诱发管涌、流土等工程事故问题[4–5],浅层气地质的岩土工程危害性逐步被人们所认识。针对浅层含气土层的赋存特征、土层特性和成灾机制展开研究,并取得了卓有成效的研究成果[6–8]。工程实践中经过不断摸索,也提出了诸如在施工前预先布设排气井,通过调整井口闸阀控制出口压力及流速进行有控制性缓慢放气的防减灾措施[5–9],并在工程中取得了良好的应用效果[10],但这种工程措施下引起的含气地层沉降一直是工程中最为关心且尚未得到很好解决的问题之一。
      气体释放条件下储层土体内部的水气分布、压力变化与运移形态决定了土体的宏观变形机制。本文以杭州地铁工程中的储层砂土为研究对象,从浅层气藏包气带中的水气压力分布与饱和度变化规律及其对土体变形影响的机制出发,基于室内试验,研究工程有控放气措施下杭州地铁浅层含气土层的变形,为含浅层气地层的沉降预测提供可借鉴的分析方法。
 
2 气藏包气带内的水气分布与运移
      有关资料显示,杭州地区普遍分布的第四纪超浅层气藏可分为顶凸型透镜状砂体、底凸型透镜状砂体、侧缘尖灭型砂体和厚层块状型砂体等 4 种典型气藏类型[3]。地层中上覆较厚的渗透率极低且具有毛管压力封闭作用的淤泥质封盖层构成了浅层气藏的有效圈闭。Chapman 等[11]认为,泥质盖层的流体压力一般比相邻砂质储集体中的大,圈闭中的水难以通过盖层。进入圈闭的气体首先在底部聚集,并随着气量的增多逐渐形成具有一定高度的连续气相。气水界面上水和气的压力相等,而界面以上的任一高度,因气水密度差产生的浮力作用,使得气体的压力总比相同高度水的压力大,从而产生向下的水势梯度,致使气体在圈闭内向上运移的同时把水向下驱替。随着气体不断进入圈闭顶部,气水界面逐步下移,直到圈闭的溢出点高度为止,从而形成具有一定压力和规模的气藏。将存在于气藏自由水面以上的非饱和区域称为“包气带”,以顶凸型透镜状砂体气藏为例,首先探讨原始气藏和气体释放条件下封闭包气带内的水气分布及其运移过程。
2.1 封闭包气带内的初始水气分布
      气藏包气带内的气、水相之间存在界面,石油天然气工程中常将跨过气—水界面的压力差称为毛管吸力pc[12]。毛管吸力在水湿地层中,一般定义为同一位置处气相压力p a与水相压力pw 之差,即
      Pc=pa-pw                                           (1)
      图 1(a)为理想顶凸型砂透镜体气藏中的初始水气分布示意图,气藏在自由水面a-a′处pa 与pw 相等,故有pc = 0。若取气藏外部静水头至气藏自由水面的高度为 H,则气藏压力大小可用式(2)估算。
      p awgH                                          (2)
      一般地,气藏中毛管吸力与气水密度差和毛细水上升高度满足如下关系:
      pc = ( ρwa)gh                                 (3)
      式中:ρw 、ρa 分别为水和气体的密度; g 为重力加速度;h为毛管中水高于自由水面的高度。杭州地区的超浅层气藏的成藏厚度一般不大,外部环境相似且气藏连通性较好,因此气藏包气带沿深度范围内ρw 、ρa 和pa 可认为是常值,由式(2)可知,包气带内p c沿气藏厚度呈线性变化,且各处毛管压力大小与其至自由水面的距离成正比。将式(2)、(3)代入式(1)可得
      pw= ρwg ( H-h )+ ρagh                       (4)
      当ρa <<ρw 时,略去式(4)右端第 2 项,则有
      p w = ρwg ( H-h)                                 (5)
      由式(5)可看出,原始气藏的包气带中水压力沿气藏厚度呈线性分布,且大小与其相同深度处的静水压力接近。理想顶凸型砂透镜体气藏中的初始水气压力大小分布如图 1(b)所示。
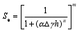
      毛管压力曲线表征了气藏储集介质中的毛管吸力随饱和的变化关系。油气工程中一般利用现场钻取的气藏岩心,通过实验室测定其毛管压力曲线来获取气藏初始状态下的饱和度分布[12]。浅层气藏包气带内的土体是一类特殊的非饱和土,也可借助已有的非饱和理论来揭示其工程特性。毛管吸力与非饱和土的基质吸力虽分属两个不同的概念,但研究表明[13],包气带中在毛细水作用区域内,毛管吸力pc 与基质吸力 s 的大小是一致的。因此,可利用储气砂土的土水特征曲线替代毛管压力曲线来计算气藏中任意深度处的初始饱和度分布。文献[14]测定了杭州地铁典型区段浅层气藏中储气砂土的土-水特征曲线,并给出了采用 van Genuchten 提出的VG 三参数模型来描述的土-水特征曲线方程:
                                      (6)
      式中: Se 为有效饱和度, S e = ( S-S r) / (1-Sr), S为饱和度,Sr 为残余饱和度;α 、 m 、 n 为模型参数。将式(3)代入式(6)可得
                                     (7)
      即为典型气藏中初始饱和度 S 与深度h的关系,其中Δγ= ( ρwa)g, h 为该处与气藏中自由水面的距离。理想顶凸型砂透镜体气藏中的初始饱和度沿深度分布如图 1(c)所示,饱和度在残余饱和度Sr 和1 之间变化。
      图 1(a)中,b -b′面与自由水面a-a′间的距离t为气藏中气水过渡带的厚度。过渡带中砂土饱和度变化较小且趋于饱和,其厚度取决于砂体介质最大孔隙中的毛管上升高度,也即气藏砂体的孔隙越大,气水过渡带的厚度越薄。水气过渡带最高深度处b -b′面的毛管压力p0 被称为门限压力,对应于土水特征曲线的进气值。现场条件下,根据电测曲线、DST 等测试方法可以测出浅层气藏中b -b′面的最高深度,结合储气砂土的土-水特征曲线,可以进一步确定出气水过渡带厚度t 及自由水面深度 H,由式(7)便可获知原始气藏包气带内的初始水气分布。
2.2 有控放气措施下包气带内的水气运移
      气体释放是含浅层气砂土在工程中常遇的应力路径之一。文献[15]研究了气体释放条件对浅层气藏中水气运移的影响,指出了在防治浅层气地质工程灾害中预先采取人为控制性的缓慢性放气措施是合理且必要的,同时说明适宜缓慢的控制性放气对气藏形态变化的影响不显著,且扰动较小,随内部气压力的减小,自由水面缓慢上升,气藏逐渐缩小,直至气体释放完毕。对应图 1(b)所示,在工程采取的有控放气措施下,气藏初始的水气平衡状态被打破,气压力由pa 逐步减小至p a 0 ,而气藏各处孔隙水压力pw 的变化幅度较小,释放前后均和该处静水压力相当,导致砂土吸力pc 下降,形成由下向上的水势梯度,使得自由水面由 a - a′ 逐渐上升至c - c′ 面,气藏缩小。 a - a′ 面至 c - c′ 面间的砂体经历了水浸过程并趋于饱和,而c -c′面以上土体则因吸力的减小,饱和度随之增大,直至达到新的平衡。这正是采取有控放气工程措施需要实现的浅层气藏封闭包气带内的水气运移过程。

3 水浸过程引起的砂土变形
      由前述浅层气藏形成和内部水气分布与运移过程可知,储集层砂透镜体初期处于饱和态,后经气体运移并逐步驱替原有孔隙中的水而聚集成藏,储气砂在其形成的历史过程中经历了一次自然脱水过程,而在工程放气路径下,由于自由水面上升,砂土吸力减小将再经历一次水浸或吸湿过程。另外,浅层储气砂土一般埋深为 25~30 m,土体虽然存在内部气压,但受到一定的净平均应力作用而处于初始稳定状态。因此,有必要研究在不同初始净平均应力下的上述历史过程对砂土变形的影响。故在GDS 非饱和应力路径三轴试验系统上开展了不同净平均应力下储气砂土的脱湿后再吸湿试验。
3.1 备样过程及试验方案
      试验所用重塑砂样含水率w0 = 6%,初始干密度ρd = 1.54 g/cm3,相对密度Dr = 0.68,试样尺寸(直径×高度)38 mm×80 mm,体积为 90.7 cm3。制样分 5 层击实成型,每层击数为 12 次,确保各试样具有相同的初始密度和含水率。将制备好的土样置入真空缸内抽真空饱和,采用冰冻法成形,在试样未融化前迅速装样,而后进行不同净应力下的应力路径三轴试验。试验路径如图 2 所示。首先将融化后的饱和砂样在预定的净平均应力下排水固结稳定,而后在试样顶部施加气压力,同时变化围压,维持试样净平均应力不变。在试样底部施加反压并始终保持为 10 kPa,试样脱水平衡后的基质吸力等于所施加的气压与反压之差。分 4 级将气压力加至 210kPa,使试样中最大基质 吸力控制为 200 kPa,再将气压经过 2 000 min 缓慢卸载至与反压相等,进行砂土脱湿后再吸湿过程的变形试验,每级平衡标准为土样连续 6 h 内的排(进)水体积小于 20 mm3

3.2 试验结果与分析
      不同净平均应力下砂土脱湿后的再吸湿试验结果如表 1 所列。由表可以看出,不同净平均应力下砂土在脱湿过程中均表现出收缩特性,且收缩变形与净应力密切相关,随着净应力的增大而减小,但再吸湿过程的变形则较复杂。储气砂土再吸湿过程中,在较小的初始净应力(如 p = 50 kPa)下随含水率的增大,试样产生湿胀变形,最终体胀率约为0.28‰;一定的初始净平均应力(如 p = 100 kPa)下试样先体胀后又产生一定体缩;在较高的净平均应力下(如 p = 200 kPa),试样体缩,最终体缩率仅约为 0.05‰;而在 250 kPa 净应力下,试样再吸湿过程中的体积变化微小,仪器因精度限制而难以测得。Alonso[16]认为,非饱和土吸湿过程中在较低的应力条件下土体会发生膨胀,而在较高的应力条件下土体则体缩,产生不可恢复的塑性变形;Wheeler[17]在研究非饱和重塑高岭土的湿化过程中,发现土体先发生膨胀后产生了不同程度的体缩变形;包承钢和詹良通认为,对于低塑性非饱和土,在吸湿过程中可能湿胀亦可能湿陷,这与土体所受的应力水平和状态相关,且与土体初始含水率和干密度等初始状态有关[18],说明本文试验结果与前人研究结果是一致的。通过试验结果可见,储气砂土在经历了形成过程中的自然脱湿后,砂土进一步压密,而再吸湿过程中因其所受外部初始应力的不同而导致体胀或体缩,带有一定的不确定性,但其变化量值均很小。就满足工程而言,可认为有控放气措施下,单由饱和度或吸力减小所引起砂土的湿化变形量很小,可以忽略其工程影响。

4 有控放气措施下土层沉降预测
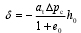
      在有控放气措施得当情况下,由浅层气体释放所引起的地层沉降可视为 K0状态下的一维变形问题。孔令伟[19]在研究杭州湾大桥桥址处的浅层气释放引起的地层沉降时认为气体释放引起的孔隙比变化可由下式计算:
      Δe = atΔ(σn-pa ) + amΔ( pa-pw)           (8)
      式中:at 为与净平均应力增量有关的压缩系数;am为与吸力增量有关的压缩系数。有控放气条件下,对应气藏同一位置处,气体释放前后σn 、pw 不变,同时有Δpa = Δpc ,故式(8)可进一步简化为
      Δe = ( a m-a t )Δp c                                    (9)
      前述的试验已表明,在工程采取的有控缓慢放气措施下可以不考虑由吸力变化引起的浅层储气砂土的吸湿变形,即am ≈ 0,故由式(9)可得
      Δe  =-at-Δp c                                               (10)
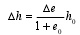
      K0条件下土层的压缩量 Δh 与Δe 之间有如下关系:
                                        (11)
      式中:e0 为含气土层的初始孔隙比;h0 为气藏厚度。
      将式(10)代入式(11)可得出有控放气措施下含浅层气地层沉降量的估算表达式:
                                         (12)
      实际工程中, at可以通过储气土层的室内测定的非饱和土压缩曲线获得。在已知气藏厚度h、孔隙比e 和地下水头高度的条件下,根据地基沉降的分层总和法的基本原理可以估算出工程有控放气引起的含浅层气地层变形的大小。如图 3(a)所示,将浅层气藏沿厚度h自上而下分成若干等厚土层hi ,气藏初始吸力由上至下呈倒三角形分布,见图 3(b)中o ′a ′m ;取各层中心位置处对应的吸力作为本层的平均吸力值。气体释放后,气压由图 3(b)中m 处对应的压力值pa 下降至 n 处对应的p a 0 ,自由水面由a-a′ 面上升至c -c′面,气藏缩小,吸力pc 变化为三角形o ′f n所围部分的对应值,nma ′f 所围阴影部分即为气体释放前后引起的吸力改变量Δp c ,由于Δ(σn-pa )= -Δpc ,取各层中点对应深度处的吸力变化作为该层在气体释放前后的平均吸力改变量,同时各层土取室内各初始吸力下的压缩曲线中对应压差为-Δpc下的压缩系数,如图 3(a)中的ati 、atj 、atk 等,由式(12)即可计算处该层土体的沉降量δi ,求取各层沉降之和δ = ∑Δδi即为气体释放后引起的土层总沉降量。例如,若气藏总厚度h =6 m,原始气藏压力pa 为 300 kPa,地下静水头高度 H =30 m,储层砂土的初始孔隙比e0 = 0.72,土层重度γ 为 20 kN/m3。按照上述方法,将土层平均分为 3 层,如图 4 所示,每层厚度hi =2 m,气体释放完毕后各层土中心位置 25、27、29 m 深度处对应的吸力变化量分别为 50、30、10 kPa,结合储气砂土的非饱和压缩曲线,可得如表 2 所列的计算结果。计算结果表明,由气体释放引起的含浅层气土层的沉降变形沿气藏厚度方向自上而下依次递减,且由于气体释放前后吸力的变化幅度不大,所引起的土层总沉降量约为气藏厚度的 1‰~5‰。

5
      (1)初始状态下原始气藏包气带内的水压力和吸力沿气藏厚度呈线性分布,水压力大小与其相同深度处的静水压力接近。初始饱和度分布可以根据现场勘探资料并利用储层土体的土-水特征曲线获得。
      (2)储气砂土在经历了形成过程中的自然脱湿过程后,砂土进一步压密,而因气体释放导致水浸或再吸湿过程中,单由饱和度或吸力减小所引起的砂土湿化变形量很小,可以忽略其工程影响。
      (3)气体释放引起含浅层气土层的沉降量沿气藏厚度自上而下依次递减,且与其释放前后的吸力差呈正比;有控放气措施下,气体释放引起的土层总沉降量约为气藏总厚度的 1‰~5‰。
      值得说明的是,本文所提预测方法是在工程采取有控缓慢放气措施下,假定气藏中水气缓慢运移,维持其基本形态和平衡的理想条件下得出的。实际工程中,若浅层气无控释放或释放速率过快,会引起气藏中水气运移的无规则剧烈变动,导致储层土体被严重扰动甚至喷发损失,引起地层的变形,则不适用本文的方法进行估算。
 
[1] 卢文忠. 中国东南沿海、长江中下游地区第四系浅层天然气分布及勘探前景[J]. 天然气工业, 1998, 18(3): 25-29.
      LU Wen-zhong. Quaternary shallow gas distribution and quaternary exploration prospects in southeast coastal and Yangtze River regions of China[J]. Nature Gas Industry,1998, 18(3): 25-29.
[2] 林春明, 李广月, 卓弘春, 等. 杭洲湾地区晚第四纪下切河谷充填物沉积与浅层生物气勘探[J]. 古地理学报,2005, 7(1): 12-24.
      LIN Chun-min, LI Guang-yue, ZHUO Hong-chun, et al. Sedimentary facies of incised valley fillings of the Late Quaternary in Hangzhou Bay area and shallow biogenic gas exploration[J]. Journal of Palaeogeography, 2005, 7(1): 12-24.
[3] 陈少平, 孙家振, 沈传波. 杭州湾入海口处浅层气成因与类型[J]. 重庆石油高等专科学校学报, 2003, (5): 30-31.
      CHEN Shao-ping, SUN Jia-zheng, SHEN Chuan-bo. Analysis on the cause of shallow layer gas at the entrance of Hangzhou Gulf and its types[J]. Journal of Chongqing Petroleum College, 2003, (5): 30-31.
[4] 谢成玉. 安徽省沿江软土浅层天然气及其对水工建筑物的影响[J]. 水利水电快报, 2005, 21(10): 11-16.
      XIE Cheng-yu. Shallow gas along the Yangtze river in Anhui province and its effects on hydraulic structures[J].Express of Water Resources & Hydropower Information, 2005, 21(10): 11-16.
[5] 孔令伟, 郭爱国, 陈守义, 等. 浅层天然气井喷对地层的损伤影响与桩基工程危害分析[J]. 防灾减灾工程学报, 2004, 24(4): 375-381.
      KONG Ling-wei, GUO Ai-guo, CHEN Shou-yi, et al. Influence of shallow natural gas blowout on stratum damage and hazard analysis of pile foundation[J]. Journal of Disaster Prevention and Mitigation Engineering, 2004, 24(4): 375-381
[6] KONG Ling-wei, GUO Ai-guo, CHEN Jian-bin, et al. On strength property of gassy fine sand and model tests of pile foundation[C]//Proceedings of the 16th International Conference on Soil Mechanics and Geotechnical Engineering. Japan: [s. n.], 2005: 2009-2012.
[7] 钟方杰. 浅层储气砂土的气藏压力状态与应力路径力学效应研究[硕士学位论文D]. 武汉: 中科院武汉岩土力学研究所, 2007.
[8] 孔令伟, 钟方杰, 郭爱国, 等. 杭州湾浅层储气砂土应力路径试验研究[J]. 岩土力学, 2009, 30(8): 2219-2214.
      KONG Ling-wei, ZHONG Fang-jie, GUO Ai-guo, et al. Experimental study of stress path of shallow gassy sand of Hangzhou Bay[J]. Rock and Soil Mechanics, 2009, 30(8): 2219-2214.
[9] TANG Yi-qun, YE Wei-min, HUANG Yu. Marsh gas in shallow soils and safety measures for tunnel construction[J]. Engineering Geology, 2003, 67: 373-378.
[10] 孟庆斌. 杭州湾跨海大桥浅层天然气排放施工技术[J].建筑, 2007, (12): 26-27.
      MENG Qing-bin. The technology of nature gas emissions in construction of Hangzhou Bay Bridge[J]. Construction and Architecture, 2007, (12): 26-27.
[11] CHAPMAN R E. Effects of oil and gas accumulation on water movement[J]. AAPG Bulletin, 1982, 66(3): 368-374.
[12] C. R. 史密斯. 实用油藏工程[M]. 岳清山, 柏松章等译. 北京: 石油工业出版社, 1995.
[13] 张吉明, 李顺群, 任庆新. 非饱和土的基质吸力与毛细吸力[J]. 山西建筑, 2007, 33(23): 1-3.
      ZHANG Ji-min, LI Shun-qun, REN qing-xin. Matric suction and capillary suction pressure in unsaturated soils[J]. Shanxi Architecture, 2007, 33(23): 1-3.
[14] 王勇, 田湖南, 孔令伟, 等. 杭州地铁储气砂土的抗剪强度特性试验研究与预测分析[J]. 岩土力学, 2008,28(增刊): 465-469.
      WANG Yong, TIAN Hu-nan, KONG Ling-wei, et al. Experimental study and predictive analysis of shear strength characteristics of gassy sand in Hangzhou metro project[J]. Rock and Soil Mechanics, 2008, 28(Supp.):465-469.
[15] 王勇, 孔令伟, 郭爱国, 等. 气体释放速率对浅层气藏中气水运移的影响[J]. 浙江大学学报(工学版), 2010,44(10): 1883-1889.
      WANG Yong, KONG Ling-wei, GUO Ai-guo, et al. Effects of gas release rate on gas-water migration in shallow gas reservoir[J]. Journal of Zhejiang University (Engineering Science), 2010, 44(10): 1883-1889.
[16] ALONSO E E, GENS A, HIGHT D W. Special problems of soils[C]//General Report. Proceedings of 9th Europe Conference on Soil Mechanics and Foundation Engineering. Rotterdam: Balkema Publishers, 1987: 1087-1146.
[17] WHEELER S J, SIVAHUMAR V. An elasto-plastic cristical state framework for unsaturated soil[J].Geotechnique, 1995, 45(1): 35-53.
[18] 包承纲, 詹良通, 非饱和土性状与工程问题的联系[J].岩土工程学报.2006, 28(2): 129-136.
      BAO Cheng-gang, ZHAN Liang-tong. Relationship between unsaturated soil behavior and engineering problems[J]. Chinese Journal of Geotechnical Engineering, 2006, 28(2): 129-136.
[19] 孔令伟. 浅层天然气对杭州湾大桥桩基性能的影响与防治对策研究报告[R]. 武汉: 中国科学院武汉岩土力学研究所, 2002.