中国节能协会城轨交通节能专业专委会
中国勘察设计协会轨道交通分会
中国土木工程学会轨道交通分会
中国城市轨道交通协会设计咨询专业委员会

行业资讯

地铁隧道群对地震动的放大作用

发布日期:2016-07-05 22:11

地铁隧道群对地震动的放大作用
 
摘 要:本文采用有限元方法在时域内研究了基岩上均匀场地中隧道群对地震动的放大作用,分析了隧道间距、入射地震波频谱等因素对隧道群附近地表地震动反应谱的影响。研究表明,隧道群对地震动具有显著的放大作用,放大作用的大小与隧道间距和入射地震波频谱有着密切关系;隧道之间存在相互作用,加速度峰值的最大值多大于单隧道情况,且水平加速度峰值的最大值位于两个隧道之间。
关键词:地铁隧道群;地震动;放大作用;反应谱;相互作用
 
引言
      近年来,我国一些大城市为缓解城市交通压力,普遍在市中心地带建设地下铁道。地铁隧道通常由两个或两个以上隧道组成,隧道之间距离比较近,隧道直径大,从而形成大型隧道群,而且不少地铁工程是建在高烈度地震区,如北京、天津等。根据工程波动理论,可以设想大型地铁隧道建设后对地铁沿线的设计地震动会有一定程度的影响,进而可能造成地铁沿线既有地面建筑物、尤其是一些重要建筑物现有抗震设防水平的不足。然而,国内外地铁工程建设及相关抗震设计规范中均没有考虑地下铁道建设后对沿线设计地震动的影响问题。
      根据工程波动理论,地下隧道群对沿线地震地面运动的影响问题实质上是地下隧道群对地震波的散射问题,可采用解析法和数值法来求解。解析法主要有波函数展开法;数值法主要包括有限元法、边界元法等。解析法在揭示问题本质方面有着数值法无法替代的作用,而数值法在任意地下结构和复杂场地特性方面有其独到的优势。Lee和Trifunac[1]开创性地给出了半空间中衬砌隧道对SH波散射问题的解析解答。Balen-dra等[2]进一步研究了双隧道在SH波作用下的动应力集中,发现两个隧道之间存在相互作用。Lee和Kar[3, 4]、Davis等[5]采用大圆弧假定方法给出了半空间中无衬砌隧道对P和SV波的散射解析解(对于P和SV波入射,因波在散射时的波型转换,问题比SH波要复杂很多)。梁建文等[6, 7]、梁建文和纪晓东[8]进一步给出了衬砌隧道对P、SV波及Rayleigh波放大作用的解析解答。梁建文等[9-11]则分别给出了地下洞室群对入射P、SV和SH波的放大作用,研究表明,由于隧道(群)对入射波的散射以及隧道之间的相互作用,地下隧道(群)对入射波具有显著的放大作用:两个隧道对入射波的放大作用可以达到单隧道的2倍以上、无隧道情况的6倍以上。
      这里需要指出的是,上述研究多针对均匀半无限空间模型,没有考虑场地动力特性,跟实际场地还有一定的距离;另外,上述研究均采用单一频率入射波,与地震波也有一定的差别。
      本文采用工程分析中最常见的基岩上均匀场地模型,利用土-结构相互作用有限元分析程序FLUSH[12],在时域内研究隧道群对地震动放大作用的基本规律,分析隧道间距、入射地震波频谱等因素对隧道群附近地表地震动反应谱的影响,以期对规范的补充和完善提供依据。需要指出的是,在强震作用下,土层和衬砌会呈现非线性,但限于论文篇幅,非线性分析部分将另文给出。
 
1 模型
      图1所示基岩上含两个隧道的均匀场地,假设土层介质和隧道衬砌均为线弹性、均匀和各向同性。土层厚度为H,隧道半径为R,隧道间距为B,隧道埋深为d,衬砌厚度为Δ。在计算区域的左右两侧各设置一透射边界[12]。透射边界根据隧道直径和隧道间距来决定,并根据计算结果的稳定性进行验算。左隧道圆心对应地表点为A0,而地表点A1,A2,A3,A4,…,分别表示右离开A0点距离为R,2R,3R,4R,…,的位置;地表点B1,B2,B3,B4,…,分别表示左离开A0点距离为R,2R,3R,4R,…,的位置。两个隧道间距中心点对应地表点为P。隧道衬砌和土层均采用平面应变四边形和三角形单元离散。
 
      地震波由基岩面垂直入射,质点振动方向为水平。地震波采用调整后的ElCentro波、天津波和Taft波地震记录,加速度峰值均调整为0. 1g(g为重力加速度),本文后面分别简称ElCentro波、天津波和Taft波。图2分别给出了ElCentro波、天津波和Taft波加速度时程曲线。
 
 
2 自由场地震反应分析
      为了便于比较,首先计算自由场(不含隧道)的地震反应。当地震波由基岩垂直入射时,自由场地表各点的水平加速度反应相同。
      基岩上覆均匀单一土层,土层厚度为30m,场地土为中密粉土,密度为1 950 kg/m3,泊松比为0. 33,阻尼比为0. 05,剪切波速为277 m/s,剪切模量为149. 6MPa。
      图3分别给出了ElCentro波、天津波和Taft波激励下自由场地表的水平加速度时程及其反应谱(阻尼为5%,下同)。从图中可以看出,在ElCentro波激励下自由场水平加速度反应谱最大峰值为1. 456 g,对应卓越周期为0. 46 s;天津波激励下自由场水平加速度反应谱最大峰值为1. 90 g,对应卓越周期为0. 44 s;Taft波激励下自由场水平加速度反应谱最大峰值为1. 454 g,对应卓越周期为0. 40 s。尽管输入地震波的峰值都相同,均为0. 1 g,但因其频率成份不同,天津波激励下地表水平加速度反应峰值(0. 33 g)显著大于ElCentro波和Taft波产生的反应峰值(分别为0. 2658 g和0. 2478 g),且反应谱卓越周期均与场地基本周期(0. 43 s)接近。说明输入地震动频谱对地震动的放大作用有着至关重要的影响,该影响也与场地的动力特性有着密切关系。
 
 
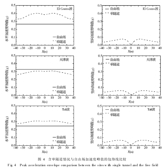
3 单隧道对地震动的放大作用
      基岩上均匀场地,土层厚度为30 m,场地中含单隧道,隧道埋深15 m,半径为5 m,衬砌厚度为0. 5 m。土层为中密粉土,剪切波速为277 m/s,密度为1 950 kg/m3,泊松比为0. 33,阻尼比为0. 05;混凝土衬砌弹性模量为为30 201. 6MPa,密度为2 600 kg/m3,泊松比为0. 2,阻尼比为0. 05。在基岩上分别输入ElCentro波、天津波和Taft波。
 
      图4给出了ElCentro波、天津波和Taft波分别激励下地表加速度峰值的包络线与自由场地表加速度峰值的比较,图中横坐标原点位于隧道的圆心。可以看出,ElCentro波作用下,地表A2点水平反应最大,加速度峰值为0. 402 3 g,比自由场水平加速度0. 265 8 g增大了51. 4%;地表竖向反应以A3点最大,加速度为0. 076 8 g。天津波作用下,地表A2点水平反应最大,加速度峰值为0. 308 4 g,比自由场水平加速度0. 33 g减小了6. 55%;地表竖向反应以A3点最大,加速度为0. 0595 g。Taft波作用下,地表A2点水平反应最大,加速度峰值0. 310 7 g,比自由场加速度0. 247 8 g增大25. 4%;地表竖向反应以A4点最大,加速度为0. 065 g。说明单隧道有可能对地震动产生显著的放大作用,最大加速度峰值位于距离隧道2~3倍半径的范围内,放大作用的大小与地震动本身(频谱)有着密切的关系。
 
 
      图5给出了ElCentro波激励下地表A0~A4点处的水平加速度反应谱与自由场加速度反应谱的比较。由于模型对称的原因,在水平地震激励下A0点竖向加速度为0。从图可以看出,隧道的存在对水平加速度反应谱频谱的影响不大(反应谱峰值对应的卓越周期均为0. 46s,与自由场的卓越周期一致),而对其反应谱峰值的影响却很大:地表A0~A4各点水平加速度反应谱峰值均大于自由场水平加速度反应谱峰值,A0~A4各点水平加速度反应谱峰值分别为2. 373 g、2. 409 g、2. 447 g、2. 421 g和2. 341 g,放大作用分别为63. 0%、65. 5%、68. 1%、66. 3%和60. 8%。同时,由于地震波在隧道周围的散射,在地表A1~A4各点产生竖向加速度,竖向反应在A3点处最大,加速度峰值为0. 077 g,而自由场地表各点的竖向加速度均为0。另外,竖向加速度反应谱卓越周期与水平加速度反应谱卓越周期一致,但频谱有着较大的差别,竖向加速度反应谱短周期成分相对较多,原因在于地表点的竖向反应完全是由隧道处地震波的散射引起的。
 
4 双隧道对地震动的放大作用
      下面以工程上常见的双隧道为例研究隧道之间的相互作用,以及隧道间距对地震动放大作用的影响。隧道间距分别取15m、20m、25m、30m、35m、40m、45m、50m、55m、60m、75m和100m,土层介质和衬砌介质参数与单隧道情况相同。在基岩上分别输入ElCentro波、天津波和Taft波。
 
      图6给出了ElCentro波、天津波和Taft波分别激励下, 12个隧道间距情况地表加速度峰值包络线,图中横坐标原点位于两个隧道间距的中心点。图4给出了单隧道情况加速度峰值,但需要注意的是,横坐标原点位于单隧道的圆心。可以看出,隧道间距对地表加速度峰值有着显著的影响。ElCentro波激励下,隧道间距40 m时水平加速度峰值最大值为0. 412 2 g,单隧道情况为0. 404 3 g,分别比自由场(0. 265 8 g)放大了55. 08和52. 11%。天津波激励下,隧道间距40 m时水平加速度峰值最大值为0. 409 1 g,单隧道情况为0.308 4 g,自由场情况为0. 33 g。Taft波激励下,隧道间距35m时水平加速度峰值最大值为0. 406 1 g,单隧道情况为0. 310 7 g,分别比自由场(0. 247 8 g)放大了63. 88%和25. 38%。说明,当隧道间距比较小时,两个隧道之间存在相互作用,水平加速度峰值的最大值多大于单隧道情况,且水平加速度峰值的最大值位于两个隧道之间。而竖向加速度峰值,均是在隧道间距20 m时出现峰值的最大值,ElCentro波激励下加速度峰值最大值为0. 116 9 g,比单隧道情况0. 069 5 g放大了68. 20%。天津波激励下,加速度峰值最大值0. 115 9 g,比单隧道情况0. 059 5 g放大了94. 79%;Taft波激励下加速度峰值最大值为0. 101 6 g,比单隧道情况0. 063g放大了61. 27%。
 
      图7给出了ElCentro波、天津波和Taft波分别激励下, 12个不同隧道间距情况地表最大响应点的加速度反应谱。可以看出,隧道间距对地表水平加速度反应谱峰值的影响非常大;随着隧道间距(15~100 m)的增大,水平和竖向加速度反应谱峰值先增大后减小。ElCentro波、天津波和Taft波激励下,地表水平最大加速度反应谱峰值相对于自由场分别放大了27. 34%、24. 79%和59. 63%,地表竖向加速度反应谱峰值相对于单隧道情况分别放大了23. 44%、67. 31%和44. 57%。
      下面进一步比较双隧道、单隧道和自由场三种情况地表最大响应点加速度反应谱的频谱(图8)。ElCentro波激励下,隧道间距40 m时P点水平加速度反应谱峰值为1. 854 g(对应卓越周期为0. 49 s),单隧道情况水平加速度反应谱峰值为2. 446 g(对应卓越周期为0. 46 s),相应自由场水平加速度反应谱峰值为1. 456 g(对应卓越周期为0. 46 s)。天津波激励下,隧道间距40 m时P点水平加速度反应谱峰值为2. 371 g(对应卓越周期为0. 51 s),单隧道情况水平加速度反应谱峰值为1. 874 g(对应卓越周期为0. 44 s),相应自由场水平加速度反应谱峰值为1. 90 g(对应卓越周期为0. 44 s)。Taft波激励下,隧道间距45 m时A2点水平加速度反应谱峰值为2. 321 g(对应卓越周期为0. 48 s),单隧道情况水平加速度反应谱峰值为2. 043 g(对应卓越周期为0. 48 s),相应自由场水平加速度反应谱峰值为1. 454 g(对应卓越周期为0. 40 s)。可以看出,隧道的存在还会影响地表水平加速度反应谱的频谱,加速度反应谱峰值对应卓越周期增大幅度可能达20%。
      另外从图8还可以看出,ElCentro波激励下,隧道间距20 m时B2点竖向加速度反应谱峰值为0. 395 g(对应卓越周期为0. 47 s),单隧道情况竖向加速度反应谱峰值为0. 320 g(对应卓越周期为0. 46 s)。天津波激励下,隧道间距20 m时B1点的竖向加速度反应谱峰值为0. 517 g(对应卓越周期为0. 51 s),单隧道情况竖向加速度反应谱峰值为0. 309 g(对应卓越周期为0. 44 s)。Taft波入射作用下,隧道间距20 m时B1点的竖向加速度反应谱峰值为0. 373 g(对应卓越周期为0. 49 s),单隧道情况竖向加速度反应谱峰值为0. 258 g(对应卓越周期为0. 16 s)。可以看出,双隧道和单隧道对地表竖向加速度反应谱频谱的影响不同,相对单隧道情况,双隧道情况加速度反应谱峰值对应卓越周期会增大。
 
 
5 结论
      本文采用有限元方法在时域内研究了基岩上均匀场地中隧道群对地震动的放大作用,分析了隧道间距、入射地震波频谱等因素对隧道群附近地表地震动反应谱的影响,得出了一些有益的结论。
      研究表明,隧道群对地震动可能产生显著的放大作用,放大作用的大小与入射地震波频谱有着密切关系。当隧道间距比较小时,两个隧道之间存在较大相互作用,水平加速度峰值的最大值多大于单隧道情况,且水平加速度峰值的最大值位于两个隧道之间。在本文研究的三种地震动激励下,双隧道对地表加速度峰值的放大作用,与单隧道相比放大了32. 65%,与自由场相比放大了63. 88%。隧道的存在还会显著影响地表加速度反应谱的频谱,加速度反应谱峰值对应卓越周期增大幅度可达20%。
      值得指出的是,除了隧道间距、入射地震波频谱外,土层厚度、土层刚度、隧道半径、隧道埋深等因素也对地震动有着重要影响,因篇幅限制,将另文研究。
 
参考文献:
[1] Lee V W, Trifunac M D. Response of tunnels to in cidentSH-waves[J]. Journal of Engineering Mechanics, ASCE, 1979, 105: 643- 659.
[2] Balendra T, Thambiratnam D P, Koh C G, eta. l Dynamic response of twin circular tunnels due to incident SH-waves[J]. Earthquake Engineer-ing and Structural Dynamics, 1984, 12: 181-201.
[3] Lee V W, Karl J. Diffraction of SV wavesby underground, circular, cylindrical cavities[J]. Soil Dynamics and Earthquake Engineering, 1992,11: 445-456.
[4] Lee V W, Karl J. On deformation near a circular underground cavity subjected to incident plane P waves[J]. European Journal of Earthquake Engineering, 1993, (1): 29-36.
[5] Davis C A, Lee V W, Bardet J P. Transverse response ofunderground cavities to incident SV waves[J]. Earthquake Engineering& Structural Dynamics, 2001, 30(3): 383-410.
[6]梁建文,纪晓东, Lee V W.地下圆形衬砌隧道对沿线地震动的影响: (I)级数解答,岩土力学[J]. 2005, 26(4): 520-525.
[7]梁建文,纪晓东, Lee V W.地下圆形衬砌隧道对沿线地震动的影响: (II)数值结果,岩土力学[J]. 2005, 26(5): 687-692.
[8]梁建文,纪晓东.地下衬砌洞室对Rayleigh波的放大作用[J].地震工程与工程振动, 2006, 26(4): 24-31.
[9]梁建文,张浩, Lee V W.地下洞室群对地面运动影响问题的级数解答—P波入射[J].地震学报, 2004, 26(3): 269-280.
[10]梁建文,张浩, Lee V W.地下洞室群对地面运动的影响[J].土木工程学报, 2005, 38(2): 106-113转125.
[11]梁建文,李艳恒, Lee V W.地下洞室群对地面运动影响问题的级数解答: SH波入射[J].岩土力学, 2006, 27(10): 1663-1667转1672.
[12] Lysmer J, Udaka T, TsaiC-F, eta.l FLUSH: a computer program for approximate 3-D analysis of soil-structure interaction problems[CP].EERC 75-30, Earthquake Engineering Research Center, University of California, Berkeley, 1975.