冰蓄冷技术在地铁地下车站中的运用分析
摘 要:简述了冰蓄冷技术的特点和地铁地下车站的负荷特性,针对性地分析比较了冰蓄冷系统多种运行方式的优、缺点并给出了结论,简要分析了地下车站采用冰蓄冷技术可能存在的若干问题并尝试给出了解决方案。
关键词: 冰蓄冷技术; 设计日冷负荷; 运行方式; 集中冷却水系统
0 引言
随着中国城市化进程的日新月异,大型城市乃至超大型城市不断呈现,为地下轨道交通的发展提供了广阔的前景。地铁车辆虽具有运能大、污染少、单位乘客能耗低等特点,但与之配套的地铁车站特别是地下车站却需消耗大量的能源,承担高额的运行费用。对于采用全封闭屏蔽门的轨道交通工程地下车站,通风空调等环控设备的能耗要占到车站总运行能耗的70%左右(未考虑机车牵引能耗),而其中又以空调冷水系统的能耗为最大。
地铁地下车站的空调冷水系统目前仍以传统的水冷冷水机组一次变水量系统为主。但近几年随着暖通空调技术的不断发展,以及用户对于节约运行费用的迫切需求,试行新型的空调冷水系统来满足多层次的需求已经引起业内的思考。蓄冷技术作为其中的代表,在地铁地下车站空调系统中具有较强的适用性,值得关注和探讨。
常用的空调蓄冷技术以蓄冷介质划分有:水蓄冷、冰蓄冷和共晶盐蓄冷三大类。由于地铁地下车站空间紧张,单位面积土建造价高,对蓄冷槽的体积有较大的限制,且通常不会设置专门的消防水池,故三类蓄冷系统中冰蓄冷最具有推广价值。
1 冰蓄冷技术简述
所谓冰蓄冷系统,即通过制冰方式,以相变潜热储存,并在需要时融冰释放出冷量的空调系统。其主要优点为:
(1)实现电力负荷的移峰填谷,如能结合峰谷电价运行则能降低系统的运行费用,实现电力公司和用户的双赢;
(2)通常能降低空调冷源的设备容量,降低了地铁电力系统的总容量,减少了相关电力设备的初期投资;
(3)日常制冷工况下,冷水机组较常规系统有更多的时间运行于满负荷的工作状态,提高了设备的运行效率;
(4)能够满足短时间内突然增加至大于设计工况的冷负荷要求,以应付突发的高峰负荷和偶然的异常高温气候现象。
冰蓄冷系统按制冷机组和蓄冷设备的连接及运行方式可分为串联系统和并联系统,由于并联系统存在冷水的出水温度和流量较难以保持恒定、系统控制复杂等缺点[2],应用不如串联系统广泛。
图1是一个典型的冰蓄冷串联系统(主机优先)示意图。

2 地铁地下车站冷负荷特性
对于采用全封闭屏蔽门的地铁地下车站来说,较之常规的地上公用建筑,其负荷有如下特点:
(1)空调负荷基本不受太阳辐射的影响;
(2)由于处于地下,深层土壤温度低且较为稳定,故围护结构的传热稳定且通常情况为逆向传热;
(3)灯光负荷和设备负荷较为稳定;
(4)车站人流密度的变化造成人员负荷变化大;
(5)轨行区设置热排风系统,列车停站屏蔽门开启时,受列车活塞风、热排风风机的共同作用,渗透风量大,且形成显著的冷负荷;该负荷与列车运行对数成比例增减;
(6)夜间列车停运时,为维持通信、信号、变配电室等设备用房一定的温、湿度要求,仍需空调供冷,故冷水系统仍需运行,但夜间的冷负荷通常只为日间峰值负荷的15%左右。
图2是东部某市一个典型地铁地下车站设计日的逐时冷负荷。由图2可以看出,该类建筑与地面公共建筑相比较,其空调负荷的峰值出现在早、晚两个客运高峰时段内,这与人流量及列车运行对数的变化趋于一致,而地面公共建筑的负荷峰值通常出现在午后时段。

3 冰蓄冷技术在地铁地下车站中的运用
冰蓄冷系统一般可分为全部蓄冷和部分蓄冷两种模式。全部蓄冷是指车站运行期间全部的冷负荷均须由蓄冰装置来承担,该方式运行费用虽低但投资巨大、占地多,不适合地铁地下车站的广泛运用。故本文仅对部分蓄冷方式作讨论。
由前所述,地铁地下车站夜间非运行时间内仍有不间断的冷负荷需求。考虑夜间负荷绝对量不大,且数值基本稳定,因此本文按设置基载机组考虑。
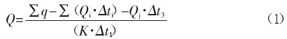
采用部分冰蓄冷技术(不考虑存在边制冷、边蓄冰的状况),选择双工况制冷主机,其额定空调工况制冷量的通常计算方法如下:

式中 Q —双工况制冷主机额定空调工况制冷量,kW;
∑q —设计日车站运行时间内的总制冷量,kWh;
Qi—制冷主机在车站运行时间△ti时间段的实际制冷量,kW;
Qj—基载机组的额定制冷量,kW;
Δt1—制冷主机处于制冰工况下的工作时间,h;
Δt3—基载机组在车站运行时间内空调工况下的工作时间,h;
K —制冷主机制冰工况下的制冷量与额定空调工况下制冷量之比;对于地铁地下车站通常采用的螺杆式冷水机组,其K=0.64~0.7[8]。
由公式(1)计算可以得知,同样采用部分冰蓄冷技术,融冰制冷量与制冷主机制冷量的不同组合方式会产生不同的投资及运行效果。下面以东部某市典型地下车站为例就该问题比较分析。该车站正常运行时间为上午5:30~22:30(共17h)。
3.1 运行方式一
如图3所示,该方式的主要特点是全部制冷主机和基载机组在车站运行时间内全时段满负荷投入运行,冷负荷的不足部分由蓄冰槽释冷补充。这是一种常见的运行方式,其优点是设备利用率高,双工况制冷主机的装机容量较小;但其缺点为蓄冰量较小,移峰填谷和降低运行费用的效应不够显著。

3.2 运行方式二
如图4所示,该方式较方式一增加了系统的蓄冰量。日间制冷主机与基载机组在车站运行时间内仍全时段投入运行,但并不足量,参考《地铁设计规范》12.2.37第5条“冷冻机房冷水机组的选用不宜少于2台”的条文,方式二考虑设置2台制冷主机,但运行时间内仅开启1台与基载机组联合运行。该方式的优点为增加了蓄冰量,其移峰填谷和降低运行费用的效应较方式一显著;其缺点为双工况制冷主机装机容量大、设备利用率低、初投资大。

3.3 运行方式三
如图5所示,该方式引用了文献[2]的建议,制冷主机在车站运行的高峰时段(上午7:30~10:30,下午16:30~19:30)内不工作,此时仅开启基载机组,冷负荷不足部分全部由蓄冰槽释冷提供。其余非高峰运行时段,制冷主机和基载机组全投入运行。

如图6所示,列车牵引功率在车站运行高峰时段和非高峰时段差距明显,故采用方式三运行,能减少车站峰值总用电负荷,变相减少主变电所设备容量,降低该部分造价;此外由于车站运营高峰时段和电价峰时段具有较大的重合性,此时段不运行制冷主机可以更大限度地移峰填谷和降低运行费用。方式三的主要缺点与方式二类似,蓄冰量的增大造成双工况制冷主机的装机容量增大、初投资大。

3.4 运行方式四
如图7所示,该方式在方式三的基础上作调整,制冷主机仅在车站运行的最高峰时段(上午7:30~8:30,下午17:30~18:30)内不工作,此时仅开启基载机组,冷负荷不足部分全部由蓄冰槽释冷提供。其余运行时段,制冷主机和基载机组全部投入运行,不足部分再由蓄冰槽释冷提供。

由图6可知,列车牵引功率不仅在车站运行高峰时段和非高峰时段差距明显,即使在高峰时间段内,最高峰和非最高峰段仍有不小的差距 (图6所示约为2MW)。其差值一般远大于1个车站的冷水系统运行功率,故制冷主机只需在最高峰时刻停止运行就能达到减少总用电负荷,变相减少主变电所设备容量的目的。此外方式四较方式三大大减少了所需的蓄冰量,降低了初投资。
四种不同方式的区别具体见表1。

由表1可以得出如下结论:
(1)运行方式二蓄冰量虽高,但其投资增加显著而运行费用的降低却有限,故不应选用;
(2)方式三如前所述,其移峰填谷和降低运行费用的效应最为显著,且能减少主变电所设备的投资。但由于该方式所需蓄冰量大,故造成制冷设备投资大增,此外在车站运行期间制冷设备的闲置率和非满负荷运行率也较大。参考其回收天数,该方式在做出具体分析前宜慎行;
(3)方式一虽蓄冰量最低,移峰填谷和降低运行费用的效应不如其余方式显著。但其具有投资费用低,综合效应高等优点,故仍值得推荐使用;
(4)方式四移峰填谷和降低运行费用的效应虽不如方式三,但其同样能有效减少主变电所设备的投资,且制冷设备的投资增幅有限(前者甚至略大于后者),此外方式四的日运行费用较方式一低。
综合分析后,本文认为方式四是一种很适合于地铁地下车站的冰蓄冷运行方式。
4 冰蓄冷技术在地铁地下车站中运用的其他若干问题
冰蓄冷技术具有普通空调系统无法比拟的优势,但将其运用在地铁地下车站,仍有不少尚需解决的问题,初步讨论如下。
4.1 晚间运行噪声问题
地铁车站不少处于城市中心,近居民住房。冰蓄冷系统晚间仍需不间断满负荷运行制冷设备,其布置于室外的冷却塔等设备的运行噪声容易扰民。对此笔者认为可采用集中冷却水系统来解决该问题,即于扰民较少之处集中设置冷却塔设备,通过敷设于区间隧道内的长距离管道输送附近几个车站所需的冷却水[6]。
4.2 地下空间有限的问题
地下车站的空间通常有限,冰蓄冷系统通常要增设蓄冰槽等制冷设备,制冷机房的面积有待扩大,这对于地下工程来说会造成布局困难和投资增加。因此本文建议可结合集中冷却水系统,将蓄冰装置安置于室外原先拟放置冷却塔的场所,这样对车站地下工程就无需做太大的调整。
5 结语
(1)地铁地下车站运用冰蓄冷技术具有常规空调系统不具有的优势且切实可行;
(2)地铁地下车站有独特的负荷特性;
(3)针对地下车站的特点,如采用冰蓄冷技术,本文推荐率先考虑运行方式四,其次是运行方式一;运行方式三在做出具体的进一步分析前宜慎行;
(4)可以通过集中冷却水系统解决冰蓄冷技术在地铁地下车站运用中的若干问题。
参考文献:
[1] 郑晋丽.地铁夏季空调室外设计参数和车站冷负荷计算探讨[J].地工程与隧道,2009,(4).
[2]曾甫海.冰蓄冷技术在地铁中的应用策略[J].暖通空调,2010,40(6).
[3] 张鲲.浅析冰蓄冷系统在地铁车站供冷中的应用[J].甘肃科技,2007,23(1).
[4] 沈亮峰,刘菁华.冰蓄冷技术在地铁车站空调系统中应用的可行性分析[J].应用能源技术,2008,(1).
[5] 何绍明.浅谈地铁车站空调负荷特性[J].暖通空调,2007,37(8).
[6] 张鲲.地铁车站集中供冷与分散供冷比较[J].工业科技,2007,36(1).
[7] 郭楚善.冰蓄冷在地铁车站空调中运用的探讨[J].广东建材,2011(4).
[8] 吴喜平.蓄冷技术和蓄热电锅炉在空调中的应用[M].上海:同济大学出版社.
[9] GB 50157-2003,地铁设计规范[S].2003.