垂直局部冷冻施工工艺在盾构进洞中应用
[摘 要]高压旋喷桩地基加固法自身存在某些缺陷,无法在流砂地层中达到理想的封闭效果。通过南京地铁十号线滨江大道站—珠江东站区间盾构接收工程实例,阐述了冷冻加固在流砂地层中具有的优势,论证了人工冷冻加固法在盾构进洞上的可用性。
[关键词]地下工程; 盾构; 垂直局部冷冻; 接收; 加固; 冻结加固分析
通过以往南京地铁的施工经验,高压旋喷桩不适合在粉细砂、粉土地层地基加固施工中应用。由于旋喷桩加固存在自身的工艺问题,使得在砂层中很难取得理想的搭接效果,尤其是当加固深度 >15m 时,桩身的垂直度较难控制,底部的成桩效果很难控制,由于底部相邻旋喷桩之间咬合不够或无咬合,地下水将会带着砂从桩体之间的缝隙进入工作井,依照以往盾构施工经验,盾构到达时的洞门止水装置采用橡胶止水带外加折页压板的形式。盾构到达时,折页压板将外翻,不同于盾构始发的内翻折页压板,只要有一点缝隙地下水将会从缝隙中流入接收井中,很难与盾构机、管片形成封水效果。
1 工程概况
南京地铁十号线滨江大道站—珠江东站区间起讫里程 CK15 + 743. 000—CK16 + 365. 300,区间长度 622. 3m,平面曲线半径 2 000m,线间距 13. 7 ~16. 2m。线路从滨江大道西端头井出发,向西穿越丰字河及丰字河立交工程到达珠江东站东端头井。本区间隧道埋深 9 ~ 10m,区间采用单坡,纵坡 3. 161‰。
2 工程地质概况
依据勘察资料,区间场地处于长江低漫滩。地势平坦低洼,现因道路建设,地面填积抬高,地面高程在 7 ~ 8m,地表组成物基本为第四系全新统的淤泥质粉质黏土、粉土、粉细砂等。盾构到达接收井段的地质分别为淤泥质( 粉质) 黏土、粉土 ~ 粉砂、粉细砂。其中,粉土 ~ 粉砂、粉细砂层工程性质不佳,为可液化土层,渗透性略好,为主要的潜水以及微承压水含水层,在外力作用下具有明显的触变性,在水动力条件作用下和盾构掘进过程中,易产生管涌、流砂及振动液化现象,从而降低土层结构强度,影响施工安全。地质剖面如图 1 所示。

3 场地水文地质条件
根据钻探揭示的地层结构特征,场地地下水类型为松散岩类孔隙水( 孔隙潜水、微承压水) 和基岩裂隙水。盾构到达接收井场地上部承压水主要分布于地面以下 30m 范围内砂性土中,水头埋深1. 76 ~ 2. 36m,标高 4. 79 ~ 5. 39m,天然流速约为0. 027m / d,属弱承压水类型,富水性较好,紧邻丰字河,易获得丰字河地表水的补给。
4 冻结加固施工
冻结加固施工方法根据冻结管的布置,可分为垂直冻结、水平冻结、全深冻结、局部冻结。针对不同的要求和现场条件,采用不同的施工方法。由于本区间接收井的加固区域已进行搅拌桩加固,冻结设计不考虑强度,只考虑封水作用,并且考虑减少冻胀、融沉以及合理利用冷量等因素。因此,盾构出洞采用垂直局部冷冻施工方法。
4. 1 垂直局部冷冻施工工艺
采用垂直局部冷冻施工工艺可以有效防止冻结冻胀与融沉对周围环境的不利影响,减少制冷量,有效地保护周围环境。
4. 2 冻结孔布置
地面垂直冻结孔平面布置如图 2 所示。冻结孔布置 2 排,冻结孔总数 29 个。第 1 排孔数 15 个,距地下连续墙 0. 4m,孔间距 0. 8m; 第 2 排孔数 14 个,第 1 排孔与第 2 排孔排距 0. 7m,孔间距均为 0. 8m;竖向测温孔为 2 个( C1,C2) 。冻结孔以及测温孔的深度为 20. 5m。

4. 3 主要冻结施工参数及施工设备( 见表 1,表 2)
4. 4 冻结孔施工
1) 冻结管、测温管和供液管规格 冻结管选用Ф127mm × 4. 5mm 20 号低碳钢无缝钢管,采用外管箍和内管箍焊接连接; 供液管采用 Ф48mm 钢管; 测温管采用Ф32mm 无缝钢管。
2) 打钻设备选型( 单洞) 打钻选用 GPS-10 型钻机,电机功率 22kW。
4. 5 垂直局部冻结工艺
根据盾构到达的工期具体安排到达的施工顺序,计划先进行钻孔施工,钻孔完毕即进行冻结施工。通过测温孔观测计算,确定冻土墙交圈并达到设计强度且冻土与槽壁完全胶结后,破除洞门盾构到达时间。盾构机离冻土墙约 10m 时,将隧道内冻结管拔除至隧道顶板 0. 3m 处; 盾构到达时,盾构机靠近槽壁后,进行完全破壁。盾构到达后,方可进行冻结管拔除并采用注浆回填。
4. 6 冻结加固温度监测分析
温度监测是为了掌握盾构进洞时垂直局部冻结施工中的盐水总去、总回路温度、地层不同冻结部位的温度变化情况,推算冻结壁发展速度及冻结壁平均温度,判断盾构出洞的时机,并且保证盾构安全进洞。冻结天数为 28d 时,冷冻机运转 1 台,盐水设计温度为 30℃ ,总去温度为 - 34. 2℃ ,总回温度为 - 33. 3℃ 。测得的冻结孔盐水回路温度如表 3所示,土体温度如表 4 所示。

根据监测,截止 2012-03-14,总去、总回路盐水温度分别为 - 34. 2,- 33. 3℃ ,温差 < 1. 0℃ 。从总去、总回路盐水温度随时间的变化曲线图( 见图 4)来看,整个监测周期内,总去、总回路盐水温度逐步下降,并且都在 - 25℃ 以下,符合冻结设计要求。去、回路温差在 1℃ 以内,也符合冻结设计要求。根据回路盐水随时间的变化曲线图( 见图 5) ,各个支管回路盐水温度值在开机冻结后也逐步下降,并无异常变化,符合冻结设计要求。

表 4 中所示的 2 个测温孔的温度相差 10°,经分析讨论,原因可能是由于不同位置的水泥含量不一样,水化热反应亦不同造成的。冷冻加固之前,接收井端头进行了深层搅拌桩和高压旋喷桩地基加固,由于工艺的缺陷,造成水泥含量不能均匀布置,导致水化热反应也不一致。
2012-03-11 在洞门打设了 9 个水平探孔,均无水、无砂流出,由于水平探孔是打入冻结壁内,为更加直观地了解冻结效果,在原设计上增加了 3 个水平测温孔 ( 见图 6) ,3 个测温点的温度分别为 -7. 8,- 12. 2,- 10. 8℃ 。

4. 7 冻结加固计算分析
1) 冻结圆柱半径计算
式中: r2为冻结圆柱半径; t1为回路盐水温度; r 为测温孔离冻结管的距离; r1为冻结管内半径。
经过 计 算,C1-1,C2-1 冻结圆柱半径分别为1. 64,0. 6m,即最小冻结圆柱的冻结壁厚度达1. 2m,已达设计冻结壁厚度。
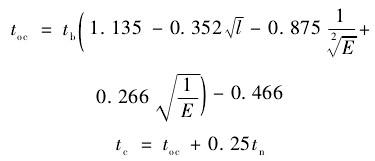
2) 冻结壁的平均温度计算
利用《建井工程手册》冻结施工成冰公式,计算冻结帷幕的平均温度。

式中: toc为按零度边界线计算的冻结壁平均温度; tc为冻结壁平均温度; tb为盐水温度; l 为冻结孔间距;E 为冻结壁厚度; tn为测点温度。
计算可得,C1-1,C2-1 测点冻结壁平均温度分别为 - 15. 5℃ 和 - 7. 6℃ 。
上述公式为单排冻结管冻结壁平均温度计算公式,实际为双排冻结管,一般双排冻结实际平均温度比单排冻结计算平均温度低 2°左右,总体上温度满足冻结设计要求。
5 洞门凿除
通过冻结加固温度监测、计算分析以及洞门水平探孔观测等方法判断冻土与槽壁的胶结情况。按照以往洞门凿除经验,洞门分 2 ~ 3 层分层凿除。
6 结语
通过该区间接收井的实际施工经验,在有地下水的砂性地层中采用垂直局部冷冻加固进行盾构接收的安全性较高,为其他类似工程提供借鉴,该方法具有较为广阔的推广前景。
参考文献:
[1] 胡向东,白楠,余锋. 单排管冻结温度场ТРУПАК和БАХОЛДИН 公式的适用性[J]. 同 济大 学学报,2008 ( 7 ) :906-910.
[2] 何挺秀,胡向东. 冻土帷幕平均温度“成冰”公式的适应性研究[J]. 低温建筑技术,2009,30( 5) : 77-81.
[3] 郑 世 兴. 盾构水平冻结法进洞技术[J]. 建筑 施 工,2009( 11) : 980-981,987.
[4] 刘典基,陈馈. 盾构始发中水平冻结法的应用[J]. 建筑机械化,2008( 8) : 44-48,6.
[5] 徐晶. 冻结法在上海地铁联络通道施工中的应用[J]. 中国市政工程,2004( 5) : 66-68,73.
[6] 曹红林. 地铁隧道冻结法施工融沉控制方案及实施[J]. 地下空间与工程学报,2010,29( 2) : 387-390,395.
[7] 岳丰田,张水宾,仇培云,等. 地铁联络通道冻结加固技术研究[J]. 地下空间与工程学报,2006,25( S2) : 1341-1345.
[8] 马芹永. 人工冻结法的理论与施工技术[M]. 北京: 人民交通出版社,2007.
[9] 秦一雄,胡向东. 盾构出洞冻结法加固施工技术[J]. 低温建筑技术 2007,28( 5) : 106-108.
[10] 郝继峰,李明新 . 冷冻封水技术在南水北调中线穿黄隧洞盾构始发中的应用 [EB /OL]. http: / /www. doc88. com/p092200574724. html.