管井降水技术在西安地铁施工中的应用
摘 要:地下工程施工在遇到高水位时,经常会采取降水以确保施工的安全顺利进行。介绍了工程概况,结合西安地铁2 号线南段三爻至凤栖原暗挖区间的工程地质与水文地质特性,阐述了管井降水方案的选择及降水设计细节,讨论了管井降水的施工问题。
关键词:管井降水技术;地铁施工;西安市
1 工程概况
1.1 工程位置及周边环境
西安地铁2 号线南段三爻~凤栖原区间处于市区至长安区南北方向的交通主干道,沿线地表建筑物和构筑物较多,地下管线纵横交织,通信电缆线、自来水管、污水管道密布,人口密集,交通繁忙。
在方案设计过程中需要重点考虑降水效果及降水施工对周围环境的不良影响,如施工中对地面环境、交通的影响;地面沉降对地埋以及市政管网的影响等。
1.2 工程地质状况
本区间场地地貌单元属于黄土梁塬,场地内地层自上而下顺序为:厚度不均的第四系全新统人工填土、第四系上更新统新黄土和古土壤、中更新统古土壤和老黄土等。
1.3 水文地质状况
本区间场地近期稳定潜水位埋深 15.50 m~36.50 m 之间,南高北低。拟建场地的地下水主要接受大气降水、地下水径流等补给,其径流方向与地形总体坡度一致,主要流向 NW,潜水排泄方式主要为径流排泄、人工开采及蒸发消耗等。区间约有 450 m 长度结构位于潜水位以下。
勘察资料显示该区间隔水层与含水层界限不明显,渗透性整体属中偏弱,且渗透性由上自下变弱。根据该区间各层土的渗透系数分析,该区间综合渗透系数可按5 m/d考虑。
2降水方案
2.1 降水原则
(1)确保方案实用原则。确保隧道内土方的正常开挖,达到无水作业条件,隧道开挖及地下结构的施工期,地下水位保持在隧道底板以下1.0 m。
(2)确保降水的科学原则。必须严格按照设计规定的控制水位分阶段降水,分阶段对周邻建(构)筑物和地下管线等进行监测,确保周边环境变形均在规范和设计要求范围内时,再进行下一阶段降水。
2.2 方案选择
降水方法有很多种,常用的有轻型井点、喷射井点、砂渗井点和管井井点等。根据工程地质条件、水文地质条件及周边环境条件,本区间的基坑降水优先采用隧道外管井降水。原因如下:
(1) 轻型井点和喷射井点利用真空度产生的负压将地下水抽吸上来的,适用于渗透系数小的土层降水。管井采用的是深井泵或潜水泵本身的扬程高的特性,主要适用于渗透系数较大的土层降水,砂(砾)渗井是疏通上下含水层,将上层地下水疏向下层含水层。
(2)轻型井点埋置浅、管距小、数量多,因而对地下管线、地面交通均影响较大,轻型井点与喷射井点抽水系统要求较高,也不适应隧道线路总体为条状的特点。管井井点一般埋置深,潜水泵安装简单、使用方便、耗能低、效率高,而且单井可自成抽水系统,受周边环境影响小。
3降水设计
3.1 井深的确定
降水井的深度按《工程地质手册》(第四版)公式(9-5-3)确定:
Hw=H+sw+h+hw+L+h′
式中:H 为隧道底埋深;i 为降水漏斗的水力坡降,计算中取0.1;h=i×r0,r0为隧道内等效半径,或者是降水井排间距的一半,m,本计算中暂定排间距为 20 m;sw为设计要求降水水位距离隧道内底的深度,本设计中取1 m;L 为降水井过滤器工作长度,本段设计中取 14 m;hw为降水期间地下水位变幅,取2 m;h′为沉砂管长度,取2 m。
所以:Hw=H+sw+ir0+hw+L+h′=30+1+10×0.1+2+14+2=50(m)
3.2 降水计算
计算模型如图1所示。由图1可知,潜水完整井、隧道远离边界。

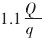
根据地勘数据得知,此区间水位降深S=12.5 m~8.5 m,以不利因素确定降水参数,S 取 12.5 m;过滤器半径 r0取0.300 m;水头高度H=30.00 m;渗透系数 k 取 5.000 m/d;地下水埋深 h 取20.00 m。其中,R 为影响半径,r0为等效半径
第一,涌水量计算。根据《建筑基坑支护技术规程》(JGJ120—99)确定降水影响半径 R 计算稳定涌水量:
根据 F.0.7确定降水影响半径 R=2S

=2×12.50×(5×30)
1/2=306.68(m)
根据 F.0.6 确定等效半径 r0=0.29(23+450.3)=137.26(m)
基坑涌水量=7964.40(m3/d)
第二,降水井数量计算。按《建筑基坑支护技术规范》8.3.3 n=

来计算:
设计单井出水量为 240 m3/d,那么需要降水井的数量 n=1.1×7964.40/240=36.5≈37(口)
由于理论计算与实际情况的差异,为防止影响降水效果,综合考虑各种因素的情况下,拟沿隧道两侧对称布置降水井 48口,考虑到地面高程和轨道底标高在靠近凤栖原站高差逐渐减小,因此在 DK22+950.0 至 DK23+178.5 区间布置降水井 30 口,井深 50.0 m,井间距约 16 m;在 DK23+178.5 至 DK23+386.3 区间布置降水井 18 口,井深 45 m,井间距约 23 m。
第三,验算群井抽水时,各井点单井过滤器进水部分长度。根据《建筑基坑支护技术规范》(JGJ 120-99)8.3.6-1:

16.78(m)>14(m),满足要求!
实际采用的泵型应根据隧道水位、降水要求及出水量确定,特别是降水初期,可换用较大泵型。
3.3管井位置确定
根据本区间结构特点,考虑地下结构施工操作空间,降水井应避开隧道围护结构外边缘,由于水位在fc1 地裂缝附近变化比较大,因此实际施工时,需适当减小井间距,以满足降水要求,并设观测井。
3.4降水井的封堵
本工程为隧道外管井降水,因此隧道降水的施工运行与暗挖区间的地下结构施工紧密联系,随着隧道结构的逐渐成形,待隧道防水及防渗结构施工完成并形成强度后可考虑停止降水,封堵降水井,避免对地面和隧道结构造成影响。封堵步骤如下:
先降低井内水位,接着切断电源,提出水泵及水管电缆等,向井内回填砂砾石至原地下水位以上 1.0 m 左右,再往井内浇筑速凝混凝土至井口以下3 m,素土夯填至原始地面结构层以下最后恢复原始地面。
3.5 排水沟槽设计
排水沟槽几何尺寸为500 mm×600 mm 联通降水井,沟槽内铺设管径为 d 300 mm×4 mm 焊接钢管,提供抽水水泵电源及排水用管的过路保护。排水沟槽向出水方向按照 0.2%~0.3%设置坡度,接入市政管线,实现排水。
降水井井口设计:由于井位布设在长安街道路中,施工维护周期长,为了维护期不影响交通,井口需做成路面检查井形式,电缆、水管敷设。
4 管井降水施工
4.1 生产要素准备
(1)主要施工设备。拟选用锅锥,用于降水井施工。降水施工不会影响总体工期,所以尽量选用锅锥成孔,优点是不需要泥浆、干成孔,对环境影响很小。其余辅助设备有路面切割机、风镐、电焊机、搅磨、污水电泵、潜水电泵、配电箱等。
(2)主要材料准备。材料主要有无砂混凝土滤水管、管鞋、砾料、水泥、排水管、电缆等。
4.2 施工方法
4.2.1 单井结构及施工技术要求
(1)孔径≥800 mm,井径 600 mm。
(2)井管采用砼井管,砼滤水管,壁厚 50 mm,单根管长 1.0m。
(3)管井垂直度≤1%,滤水管孔隙率>25%,井管接口平整,内壁光滑,接口处采用双向网环向封缠,下管时沿井壁轴向设4道竹片环向用铁丝绑扎缓缓下入。底部井托保证接口平整,固定绳索保证紧固并便于拆卸。井口要求低于地面1 m。
(4)砾料规格为2 mm~5 mm豆砂石,填料时沿井四周均匀填进,直至地面下5 m处,上部用填土封口。
(5)洗井要求达到水清沙净即可,成井后应立即洗井。
4.2.2 降水周期
降水作业应比进入水下作业工点位置提早15 天开始,在确保暗挖区间安全顺利施工的前提下,为尽量减少地下水的流失,暗挖区间降水井的停止作业时间应在该段二衬施工完成并且混凝土强度达到规范要求后,分阶段停止降水。
5 工程实施中各项措施
在降水施工过程中,必须加强监测,监测项目有地表沉降、水位变化、周边建(构)筑物沉降及倾斜、地层与设计对比的变化、洞内净空收敛、洞底沉降、结构稳定等项目。并且要制定相应的应急预案,备置应急物资,以备上述监侧项目数据出现异常时急用。
6结语
通过对上述方案(方法)的科学研讨,认真落实各项技术措施并具体实施,攻克了许多技术难题,降水效果达到了预期目的。从现场施工的情况及监控量测的数据分析,地面道路及附近建筑物没有出现异常反映。该管井降水工程成功实施,为其他水下隧道施工降水作业提供了一个成功的范例。