大跨度楼盖竖向振动舒适度的设计
摘 要:近些年,我国地铁建设日新月异,地铁附属开发逐渐成为一种新的开发模式。由于地铁的制约,其附属商业开发出现很多大跨度建筑。在使用中,人的活动引起楼板竖向振动的控制对于建筑物的正常使用状态,是一个十分关键的因素,楼板振动问题是一个人机工程学和结构工程学的交叉课题,人对楼板振动的反应与振动大小、人自身的活动状态、人的心理反应都有关系。但我国目前还没有相应的控制目标、计算方法及相应规范。美国钢结构协会(AISC),国际桥梁协会(IABSE),日本建筑协会都研究了人群活动引起的楼板振动计算及振动引起的舒适度问题,但由于各种国内外技术水平和经济实力的差异,这些方法在实际应用中存在很多问题。本文通过对一个具体工程,对大跨度建筑在使用状态下,楼盖竖向振动舒适度的设计方法进行研究,参考国外资料,提出一个实用的控制目标和计算方法,可以在大跨楼盖设计中进行推广。
关键词:舒适度;楼盖振动;振动控制
承重结构设计应按承载能力极限状态和正常使用极限状态进行设计,正常使用极限状态包括:影响结构、构件正常使用或外观的变形,影响正常使用的振动,影响正常使用或耐久性能的局部破坏。振动引发的问题主要有共振问题和舒适度问题。
随着我国经济发展,建筑物舒适度的要求已经逐步成为一个重要的设计环节。尤其是大跨度的体育类建筑,人群活动下楼盖竖向振动对运动和比赛成绩会有很大影响。楼板振动问题是一个人机工程学和结构工程学的交叉课题,人对楼板振动的反应与振动大小、人自身的活动状态、人的心理反应都有关系。我国现行规范标准还没有这方面的规定。美国钢结构协会(AISC),国际桥梁协会(IABSE),日本建筑协会都研究了人群活动引起的楼板振动计算及振动引起的舒适度问题,但由于各种国内外技术水平和经济实力的差异,这些方法在实际应用中存在很多问题。
位于重要道路旁边的建筑,内部有振动设备的建筑也会有舒适度的问题,但都不在本文讨论范围。人行引起振动,群体性有节奏运动引起的振动是本文讨论的内容,对舒适度进行计算要解决几个主要问题:1)荷载如何确定?2)楼板的相应是动态的,是否要进行动力计算:3)设计准则及计算工具。
本文主要从三个角度考虑楼板振动问题:1)根据国内外资料及工程实例,寻找建筑舒适度要求的振动控制参数及其限值,即控制目标(如响应加速度、最大振幅、自振频率等);2)振动控制参数的计算方法,主要是时程分析法建筑激励函数的取法和加载方式。3)实际工程算例。
1 舒适度要求的控制目标
参考国内外相关标准及参考文献和设计手册,目前主要的控制目标有:
1.1 修正的Reiher-Meister曲线
根据AISC Steel Design Guide Serries,no.11.楼板预期的振动表现可以通过以下方法来分析:计算楼板的第一自振频率与振幅(振幅通过测试楼板受到小锤冲击的挠度获得),并将结果绘于修正的Reiher-Meister曲线上,就可以确定振动的可感知程度。一般来说,接近或者超过“明显感知”范围上限的情况应该避免。

许多研究者已经证实,修正的Reiher-Meister曲线对于预测混凝土板(包括压型钢板组合楼盖系统)的振动感知是很精确的。
1.2 ATC(Applied Technology Council)Design Guide 1
结合结构力学相关知识可知,结构的质量越大,越难以激励,结构的自振频率越近于干扰频率将发生共振,其幅值大小取决于结构的阻尼比。参考美国ATC1999年发布的《减小楼板振动》指南,人对楼盖振动的感觉又与楼盖振动的大小和持续时间有关,也与人所处的环境和所从事的活动有关,与人的生理反应有关,不同环境、不同振动频率下,人们舒适度可以接受的楼盖振动加速度如图2所示。

舒适度可接受的楼盖加速度限值如下表1所示。

按楼盖有效质量分为轻、中、重三种楼盖来考虑结构质量对动力反应的影响,按人类所处的不同环境和从事的活动来考虑干扰力和干扰频率对动力反应的影响,并由此确定不同场所,不同楼盖质量情况下结构自振频率的合理范围,以控制楼盖振动对人体舒适度的影响。
对地铁附属建筑中常用的楼盖结构形式钢-混凝土组合楼盖结构,按人行走荷载与人有节奏运动两种情况,控制目标分别如下。
人行走荷载下:
1)竖向自振频率控制
为了避免因少量人员跳跃引起的钢-混凝土楼盖结构不利的共振响应,钢-混凝土楼盖结构的竖向自振频率一般应该满足
fn≥3Hz
的要求,如果不满足,应进行专门的评估:
2)峰值加速度控制人行走引起的楼盖振动的峰值加速度ap计算和限值如下:

式中,p0e-0.35fn为接近楼盖结构自振频率时,人们行走产生的作用力(kN),β为振型阻尼比,W为楼盖有效阻抗重量(kN),βW为楼盖对人员行走的阻抗,a0为楼盖振动峰值加速度限值(m/s2)。


人有节奏运动荷载下:
1)楼盖竖向自振频率控制
f1≤ [f 1]
[f 1]见表3。

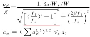
2)楼盖结构振动加速度的控制
人们有节奏运动中某i中频率产生的楼盖振动峰值加速度αpi,一般可以按照楼盖结构第一振型求解

a0为结构的振动加速度限值,其取值为:
餐厅、举重房取0.015g~0.025g,活动用房(舞厅、健身房、比赛用地)取0.04g~0.07g。
1.3 我国相关规定
我国目前主要有自振频率控制目标:参考《城市人行天桥与人行地道技术规范》2.5.4,为避免共振,减少行人不安全感,天桥上部结构竖向自振频率不应小于3Hz。
《钢-混凝土组合楼盖结构设计与施工规程》要求组合楼板自振频率不小于15Hz,这一规定往往难以满足。
2 控制参数计算方法
根据国外相关资料,人群活动激励下振动的峰值加速度及竖向自振频率的计算方法主要有简化方法和整体结构计算机程序计算分析方法。简化方法在相关规范上具有讲述,主要是根据用途及楼盖特性,对结构有效刚度、有效质量以及阻尼比等参数进行建议取值,按力学方法进行计算。此处不再对简化方法进行表述,本文主要讲述时程分析中激励函数的取值方法,结构模型的定义。
进行计算机分析时,应着重以下几个方面:
1)应采用全弹性楼盖多自由度振动模型,记忆连续性的影响,采用相邻跨反向运动对应的竖向振型作为第一自振频率。
2)计算动力特性时,混凝土的弹性模量提高到1.2倍,刚才的弹性模量不变。
3)计算需考虑有效活荷载,对正常使用状态活荷载予以折减(取活荷载的1/4~1/6)。
4)计算需考虑整体浇注钢筋混凝土楼板与梁共同受力变形,同时需计及混凝土梁裂缝对梁刚度的影响。
采用时程分析时,人行激励函数的取值很重要,目前常用分析软件中Midas中有相应荷载,主要有5种荷载,分别是:
行走一步(Baumann),连续行走(IABSE),不连续行走(AIJ),跳动(AIJ),跳动(Allen & Rainer)。分别讲述如下:
行走一步荷载,Baumann K.和Bachmann H.提出的由步行者的1step发生的荷载的时间关系曲线图见图3。这是根据步行者的体重和步行速度取的近似,可以在描述步行者的移动的时间关系曲线图分析中采用。
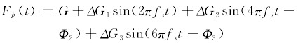
连续行走(IABSE),函数见图4为:

式中G为体 重,△G1=0.4G,fs=2Hz;△G1=0.5G,fs=2.4 Hz;△G2=△G3=0.1G,Φ2=Φ3=π/2。

不连续行走(AIJ)激励函数是日本建筑协会的步行者荷载,因步行而产生的冲击量 定义为0.3kgf·sec,把这个假设为持续时间0.04秒的冲击荷载来计算的荷载。Fp(t)=11.78sin(78.5t)。
跳动(AIJ)激励函数也是日本建筑协会的跳荷载,由跳产生的冲击量定义为1.8kgf·sec采用与步行同样的假设来计算的荷载。Fp(t)=70.69sin(78.5t)。
另外还有AISC建议的激励函数,可参阅相关文献。
采用时程分析法时,可根据人活动情况选择合适的激励函数作为时程函数,对楼盖单独建立模型进行时程分析,以读取最大相应加速度及自振频率等控制指标。
为避免时程分析在荷载处理上的麻烦,目前也有根据实测有代表性的落步曲线,进行大量时程分析,得到不同阻尼、跨度和边界条件下楼板结构振动的最大加速度相应谱,给出人走动引起振动的一种简化计算方法。
3 工程实例
某地铁上部大跨度楼盖,使用功能为商场,跨度为42m,结构形式为钢桁架上浇混凝土组合楼盖,桁架矢高3.5m,杆件界面均均采用H型钢,主桁架截面尺寸最终由舒适度控制,最大截面为H500×500×35×50,楼盖厚200mm。
选定结构的控制目标为:1)竖向自振频率≥3Hz;2)峰值相应加速度≤0.015g。
采用通用有限元分析软件Midas对楼盖整体建模进行计算,结构的前三个以竖向振动为主的自振频率分别为:5.132Hz,6.325Hz,6.786 Hz,均满足控制目标要求。
分别采用2种振动激励荷载进行相应分析:
1)50人按照2.4Hz自振频率快速行走,阻尼比取0.05,激励力作为均布荷载作用在中间榀桁架跨中板块。激励函数取连续行走(IABSE)。
2)大量人按照1.2Hz的自振频率慢速行走,激励函数与(1)相同,仅频率不同。经过计算分析,峰值相应加速度分别 为0.0093g,0.013g,均满足小于0.015g的设计要求。
4 结论与建议
本文对目前国内外的楼板竖向振动舒适度研究进行了学习和总结,并进行工程实例计算,发现:
1)对大跨度轻型楼盖,竖向振动舒适度往往替代强度和变形成为控制指标。
2)目前,我国缺少楼盖竖向振动舒适度的控制要求和计算方法,随着大跨度项目迅速发展,亟需补充相应规范。
3)时程分析对于结构相应加速度计算还具有不确定性,人为因素太多,应有统一的技术标准,并用简化计算方法进行复核。
参考文献
[1]American Institute of Steel Construction,Canadian Institute of Steel Construction.Floor Vibrations Due to Human Activity(Steel Design Guide Series 11)[S].1997.
[2]Arya Ebrahimpour,Ronald L.Sack,(2005),A Review of Vibra-tion Serviceability iteria For Floor Structures,Computers and Structures,83:2488-2494.
[3]Allen D.E.,Rainer J.H.,(1976),Vibration Criteria for Long Span Floor.,Canadian Journal of Civil Engineering,3(2):165-173.
[4]MIDAS/SDS V2.4.0帮组手册.北京迈达斯技术有限公司,2001.