中国节能协会城轨交通节能专业专委会
中国勘察设计协会轨道交通分会
中国土木工程学会轨道交通分会
中国城市轨道交通协会设计咨询专业委员会

行业资讯

钢轨道梁中的平联设计分析

发布日期:2006-03-21 18:34

钢轨道梁中的平联设计分析
 
摘要:通过对跨座式单轨交通系统中钢轨道梁平联的受力分析,结合静定桁架影响线理论,以一榀跨度为64m直线简支钢轨道梁平联为例,利用VB编程给出了该钢轨道梁平联的受力情况,并校核了有关杆件型钢的截面尺寸。
关键词:跨座式单轨交通系统 钢轨道梁 VB编程 影响线 菱形桁架理论
 
0 前言
      重庆市轻轨较新线首次引进日本技术,将跨座式单轨交通系统作为首选的城市轨道交通方式,开始兴建我国第一条跨座式轨道交通系统。该工程一期工程自重庆市渝中区较场口至新山村,线路中大多数采用的是预应力混凝土轨道梁,但其中也有两跨钢轨道梁桥,其计算跨度为39.2m,钢轨道梁的相邻跨为PC轨道梁[1]。
      目前,对钢轨道梁桥的设计既无现成的规范可参照,又无定型的理论可引用,设计人员感到困难很大。有鉴于此,本文对本工程中钢轨道梁的平联设计进行了研究。在钢轨道梁中,平联采用菱形桁架,它和主梁、横梁组成一个整体并承受水平荷载的作用。本文推导出了适合跨座式单轨交通系统中钢轨道梁的平联截面形式的影响线公式,借助VB编程,对一跨度为64m的直线钢轨道梁平联进行了计算和校核。
1平联的作用及受力特点
      钢轨道梁的跨度较大,故主梁截面(如图1)要求细而高。为了抵抗风荷载、地震荷载、横向摇摆力和离心力等对主梁产生的扭转作用,需把两线主梁连成一个整体,即采用平联的形式。轨道梁的平面布置见图2。
      钢轨道梁在抵抗水平力时,平联中各个杆件的受力情况类似于平面桁架,在这一桁架中也包含主梁和横梁的杆件,因此可认为主梁对于平联起到了桁架弦杆的作用。平联作为菱形桁架抵抗水平力,根据其连接情况可作为二力杆进行分析,其截面力只考虑承受轴向力。在截面计算时,上下平联各分担1/2的水平荷载。其受力路径是水平荷载先作用在弦杆上,然后, 由弦杆传给上下平联,下平联的力传给支座,而上平联者则认为是通过端横梁将水平荷载传到支座上[1,2]。
2 平联的设计理论及方法
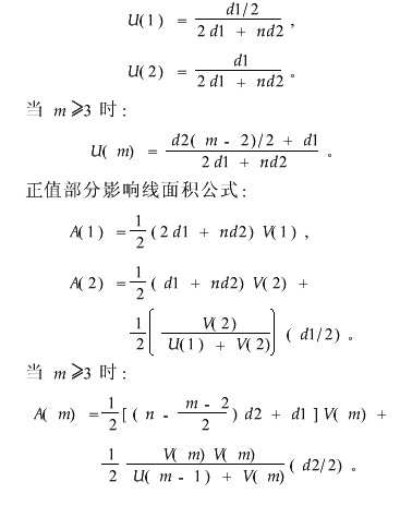
      为了对平联进行简化计算,偏安全的认为水平荷载全部由平联承担。上下平联为独立的平面桁架,分别承担全部水平荷载的1 2。截面力只考虑轴力,平联的杆件可以通过平面桁架杆件内力影响线进行分析。依据平联的截面形式设计出针对平联的影响线公式,进而求出杆件的内力。
      平面桁架的设计简图和杆件支座的影响线图形如图3所示。支座处横梁间距为d1(单位:m),中间部分为d2(单位:m),横梁长度为h(单位:m),跨距为L(单位:m)。设左右支座影响线的值在截面公式中分别为V(m)、U(m)(无量纲单位),影响线的面积在截面正值部分面积公式中为A(m)(单位:m),在负值部分面积中公式为B(m)(单位:m)。平联轴力为ne(m)(单位:kN)。
 
杆件轴力的计算公式:
ne(1)=weqA(m) cosθ1,
ne(2)=weqA(2) cosθ1,
ne(m)=weqA(m) cosθ2
其中,角度计算公式为tanθ1=d1 /h,tanθ2=d2 /h。weq为风力、地震力引起的水平力。
      根据受力情况选用平联型钢杆件的截面尺寸,再根据下列公式对杆件进行截面验算。平联的杆件属于轴心受力构件,其截面验算时应考虑强度、刚度和整体稳定。
强度计算公式为:σ=N A≤σ,
式中 N———轴心拉力或轴心压力设计值(N);
         A———构件的净截面面积(mm2);
         σ———容许的应力值(MPa)。
刚度计算公式为:λ=l0 /i≤[λ],
式中 λ———构件的最大长细比;
        l0———构件的计算长度(mm);
        i———截面的回转半径(mm);
         [λ]———构件的容许长细比,根据杆件的受力类型查表可得。
整体稳定性计算公式:
         σ=N/A≤σca
式中 N———轴心压力设计值(N);
         A———构件的面积(mm2);
         σca———容许的整体稳定应力值(MPa)。
对截面为双轴对称或极轴对称的构件:
        σca=1400-8 4(l i-20)。  
对截面为单轴对称的构件:
        σca=[1400-8 4(l i-20)][0 5+l (1000i)]。  
平联采用型钢作为杆件,不需验算局部稳定性[4]。
3  计算结果及分析
      现对一梁长为64m的复线钢轨道梁的平联进行设计,平联尺寸如图4所示,通过VB编程计算平联轴力。通过平联轴力可对平联选择型钢型号,并通过VB程序进行检验。
      由平联轴力选择型钢,在靠近支座处的3个梁格内(编号1~6),选用H—200×200×8×12的型钢,中部部分(编号7~14)选用144×204×12×10的T形型钢。
      通过VB程序对选择型钢截面可实现强度、刚度、整体稳定性验算。经过验证知,所选型钢能满足各项要求。
4 结论
      1)在钢轨道梁中,平联提高了结构横向刚度,是因为平联的菱形桁架,和横梁一起将钢轨道梁主梁连成整体,增大了梁体的宽跨比,横向刚度提高了,同时也提高了水平荷载的承受力;
      2)采用影响线理论,对平联的设计计算更加便捷、快速;
      3)可以应用VB编制程序对平联能快速进行设计、校核。
 
参考文献
[1]王立福,杨佑发.跨座式单轨交通箱形钢轨道梁动力特性研究[J].钢结构,2004,(2):51 53.
[2]周子云.跨座式单轨交通系统中钢轨道梁的受力性能研究[D].北京:北京交通大学,2004.
[3]东京都北多摩北部建设事务所.多摩都市モノレ ル多摩南北详细设计(ぞの3)P2 29~P2 30桥单纯钢轨道桁设计タ算书[R](ぞの1).平成2年3月:147 151.
[4]TB10002.1—99,铁路桥涵设计基本规范[S].