中国节能协会城轨交通节能专业专委会
中国勘察设计协会轨道交通分会
中国土木工程学会轨道交通分会
中国城市轨道交通协会设计咨询专业委员会

行业资讯

日本阪神地震地铁工程的震害分析

发布日期:2008-04-04 19:13

日本阪神地震地铁工程的震害分析
 
【提要】日本阪神地震对开挖式施工的地铁工程造成严重震害。作者认为竖向地震作用是造成震害的主要因紊。本文采用冲量原理计算竖向地震作用,能较好地解释震害特征和规律。文中对埋置深度与震害的关系,进行了定量分析。
 
一、前言
      1995年1月17日,发生在日本兵库县南部(阪神地区)的地震,对开挖式施工的地铁工程,造成了严重震害。有的因柱子被压碎,而造成地面塌陷。日本大林组技术研究所关于兵库县南部地震的调查资料介绍了三宫段尚未压坍的结构典型破坏特征(图1)。文中还介绍了一些与震害轻重有关的因素,其中很重要的一点是:地下结构上部土层厚度越厚,震害越轻。如图1中站房的上层中柱,土层厚度仅为3m,而震害却比埋深8m的线路段中柱破坏重得多,柱子中间部份几乎压碎,而线路段柱仅在中间位置出现竖向裂缝。这种特点是很值得分析的。
      柱子中间部位破坏,显然是由竖向地震作用造成的。因为在水平地震作用下,由于结构的对称性,柱子中间部位的弯矩为零,且不产生轴力,仅产生水平剪力。在水平地震作用下,仅对柱子上下端产生弯炬。柱子中间部位不可能由水平地震作用造成破坏。而且破坏特征多为竖向开裂,更不是由水平地震作用所致。
      本文采用冲量原理计算竖向地震作用,对上述破坏特征进行了定量分析,能较好地解释震害规律。并对上部土层厚度与震害关系,进行了计算分析,可供今后工程设计时参考。
二、竖向地震作用分析
      采用冲量原理推导的竖向地震作用墓本计算公式为[1]:
      任意水平截面竖向地震力FEVa:
      现以上述公式,对图工中的中柱震害进行分析。
      1.线路段中柱震害
      以图2为计算单元。将结构及上部土层分成两个重力点:G1为顶板及上部土层重,G2为底板重(柱子重力可化至G1和G2,也可略去)。结构及土层总重为:G=G1+G2。
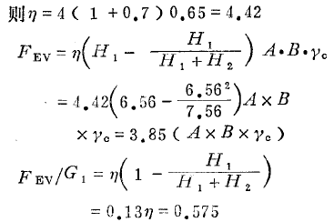
      为计算简便,可将土层厚度化为等效的混凝土厚度。取土的重力密度v =18kN/m8,混凝土的vc= 25kN/m8,则等效厚度h=8m x 18/25 = 5.76m。此时,上部土层及顶板的总厚度H1 = 5.76m + 0.8m = 6.56m,底板厚度H2=1.0m。在用公式(1 ),式(3)计算时,便可用H1代G1 , H2代G2
      由于三宫地段的竖向地震加速度未明确,现按《中国地震烈度表》中的10度考虑,并取竖向加速度为2/3水平加速度,即av=640ga1,av=0.65
      说明竖向地震力相当于0.575倍静重力。按旧规范单一安全系数法,受压构件安全系数为1.55。可知静重力加上竖向地震力,已达到了极限状态,柱子产生竖向裂缝是必然的。
      2.站房中柱震害
      计算单元如图3。将结构分为三个重力点,G1为土层及顶板重力,G2为二层楼板重力,G3为底板重力。仍采用上述同样方法,可计算出上柱及下柱竖向地震力及竖向地震力与静重力的比值,列于表1.
      由表1可以看出,上柱竖向地震力为静重力的1.42倍,下柱为0.95倍,均超过了允许强度。下柱为钢管混凝土柱,抗压性能较好,才米破坏。日本大林组技术研究所调查报告*中介绍了当下柱为普通钢筋混凝土柱时,也发生了破坏,但比上柱为轻,仅表现为柱的中间部位钢筋保护层脱落,钢筋外露。
      由表1可以进一步看出,上柱不仅表现为FEVi/Gi的比值大于下柱,而且竖向地震力与静重力之和的绝对值,也大于下柱。如上柱竖向地震力与静重力之和为7.65(AxBxvc),而下柱仅为7.13(A x B xvc),上柱为下柱的1.07倍。但在设计中,上柱的截面或配筋,一般均小于下柱,这种反差,自然造成上柱震害偏重。笔者曾多次阐明:竖向地震力不是结构底部最大,当n>1时,竖向地震力与自重相加的最大值,也不是在结构根部。分析各类结构的震害,均证明了这一点。这一概念应当引起注意。
三、上部土层厚度与震害的关系
      从以上分析可以看出,站房上部土层仅为3m,而线路段为8m,反而站房上柱震害比线路段中柱震害要重得多。虽然二者结构形式不同,但也反映出土层厚度薄,震害较重。
      现以线路段为例,设土层厚度分别为4m,8m,12m,20m,  25m,计算竖向地震力与静重力的比值,以及各种情况竖向地震力绝对值的相对关系,以分析土层厚度对震害的影响。计算结果列于表2。从表2中可以看出,土层越薄,竖向地震力与静重力的比值越大,震害也越重。当土层厚度在20m以上,其比值已小于3000,一般不会发生震害。
      表2中以4m厚土层的竖向地震力绝对值为10000, 25 m厚时才12300,可见竖向地震力的绝对值增加较小。
      这一分析,对抗震设计是有参考意义的。
四、结语
      通过本文分析,可以看出采用冲量原理计算竖向地震作用,基本上反映了震害特征和规律。
      在此,可以得出以下几点概念:
      1.竖向地震力沿结构高度的分析,不是结构下部最大。通过站房中柱的比较,上柱的竖向地震力与静重力之和,大于下柱,其震害上柱必然偏重。
      2.地下结构上部土层越厚,竖向地震力与静重力的比值越小,震害也越轻。当上暴厚度大于20m时,一般不会发生震害。
      3.地下结构必须考虑竖向地震作用,通过计算判断抗竖向地震作用的能力。
 
参考文献
〔1〕杨春田、于淑琴,烟囱在竖向地震作用下计算方法的探讨,《特种结构》1989,2