中国节能协会城轨交通节能专业专委会
中国勘察设计协会轨道交通分会
中国土木工程学会轨道交通分会
中国城市轨道交通协会设计咨询专业委员会

行业资讯

地铁施工影响邻近管线的现状与展望(一)

发布日期:2008-05-09 21:10

地铁施工影响邻近管线的研究现状与展望
 
摘 要:从地下管线初始应力、接口模拟、失效模式、管土相互作用、控制标准、评估简化算法、离心模型试验以及有限元数值分析等方面,综述了国内外隧道施工对地下管线影响的已有研究成果。开挖引起周围地层的差异沉降是导致管线功能丧失的主要原因,主要表现形式为纵向弯矩引起的横向断裂和非刚性连接的管线接头张开等。影响管线变形的主要因素包括管线与隧道的相对位置、管线的弯曲刚度和土体的强度。管线的控制标准可以从地层移动、管线接头转角与脱开以及管线应变等方面考虑制定。对此类问题的分析,常用的弹性地基梁法与工程类比法都是基于经验的预测方法,没有考虑管道腐蚀引起的安全性下降,仅是采用较严格的变形控制标准。应在腐蚀管道评定的基础上合理制定变形控制标准,结合开挖引起地层移动与管土相互作用以及管材强度与变形特性的研究,建立一套完整实用的管线安全性评估体系。
关键词:地下管线;管土相互作用;地铁施工
 
  目前我国已有9个城市开通了地铁、轻轨线路。大规模的地铁建设势必造成对城市地下管线的影响,有许多管线年代很久,结构强度低,稍加扰动就会引起渗漏而酿成灾害和事故。地铁施工影响邻近管线问题,国外已有较多研究,国内在这方面研究不多,仅对深基坑开挖影响邻近管线有较深入研究。充分了解国内外的研究现状,对于下一步开展相关研究十分必要。
1 地下管线研究
1·1 初始应力研究
      埋地管线在受到开挖引起地层运动扰动前的应力称为初始应力。正常情况下埋入地下的管道所受的主要负荷为内压力(工作压力、实验压力)和外压力(垂直土荷载、水平土荷载和地面活荷载)。Taki与O′Rourke[1]分析了作用在铸铁管上的内部压力、温度应力、重复荷载和安装应力,认为作用在管线上的初始应力值大致为当管线纵向弯曲应变达到0.02%~0.04%时对应的应力值。Moser[2]进行了螺旋肋钢管和低劲性加肋钢管的试验,结果显示这些管线的性能很大程度上受土壤密度的影响。王绍周等[3]对各类压力管进行了支座荷载、轴向应力等方面的研究工作,提出了初始应力计算的理论方法及相应计算公式。
      埋地管线的实际受力情况为三维应力状态,当管径较小且埋深较浅时,内外压力引起的径向应力和环向应力相对较小,一般都小于其抗拉、抗压强度,而隧道开挖对他们影响又很小,对管线的安全不起控制作用,可以只考虑由于隧道开挖而在管线中引起的纵向弯曲应力或接头脱开应力。
1·2 管道接头模拟
      地下管可分为刚性管和柔性管。接头允许转动的管道称为柔性管,否则为刚性管。Singhal[4]在柔性管性能方面做了很多基础工作,对公称口径分别为100,150,200及250mm的离心铸造球墨铸铁管进行弯曲、拉伸和扭转试验,得到了轴心拉拔力、弯矩和扭矩的计算公式。通过研究球墨铸铁管橡胶接头的轴向拉伸、弯曲和扭转的试验特性,解析管线接头的抗变形机制。试验结果显示管线的埋深与土体的强度均是影响管线变形的因素。在轴向拉伸与扭转试验中,接头处的密封圈与管道之间的摩擦系数控制着管段间是否发生脱离以及脱离的时间;摩擦系数越大,管段越不易脱离。
      李大勇在Singhal的基础上,研究了深基坑开挖引起的柔性接口地下管线位移及其接口内力问题,并与刚性管进行了对比。指出围护结构位移与地下管线位移密切相关,最有效控制地下管线位移,达到对其安全保护的措施是采用基坑内被动区土体加固、加设内撑或两者并用的方案。
1.3 管线失效模式
      管线功能失效的形式是多样的,并因其周围土体受到施工扰动而产生附加应力和附加变形。同时,由于管线的刚度远大于土体的刚度,又必然会对周围土体的移动产生抵抗作用。在施工扰动作用下,管线可能产生泄漏,甚至结构上的破坏Clarke[8]系统总结了管线的各种破坏类型及其原因,如图1所示。Attewell[9]等提出了脆性灰铁管的几种功能失效的模式:①纵向弯矩引起横向断裂;②环向弯矩引起纵向劈裂;③熔断、由长期腐蚀引起孔洞或穿孔;④管线接头处泄漏;⑤引入连接点处泄漏;⑥直接冲击引起损伤。上述破坏形式的出现与管线的材料、接头类型、几何尺寸等多种因素有关。在地铁施工过程中,开挖引起周围地层的差异沉降是导致管线功能丧失的主要原因,主要表现形式为纵向弯矩引起的横向断裂。对于非刚性连接的管线,地层差异沉降导致的管线接头张开也是非常普遍的现象。
2 管—土相互作用
  Attewell[9]认为,隧道施工引起的土体移动对管线的影响应根据隧道轴线方向与管线的相对位置确定。当隧道与管线垂直时,管线周围土体的纵向位移将引起管线弯曲应力的增加及接头转角的增大;当隧道与管线平行时,土体对管线的轴向拉压作用将引起接头脱开以及管体拉压应力的增加。管土相互作用主要表现为管线对土体移动的抵制作用,这种抵制作用主要与管线的直径、刚度、接头类型及所处位置有关。
2.1 理论模型
      O′Rourke[10]根据隧道开挖引起的地层移动模式,分析了柔性管的破坏准则,提出了管—土相互作用的模型。
      如图2所示,理想刚性管变形类似独立刚性管段,变形由接头转角独立承担;理想柔性管变形与地层一致,其变形直接反映地层移动的曲率,接头处无转角。理想刚性管主要通过接头的相对转动承受变形,理想柔性管承受变形主要是在管内产生弯矩,实际的管线属于刚性管还是柔性管主要取决于管—土的相对刚度、接头弯矩承载力、接头相对于地层移动的位置,等等。
  O′Rourke提出采用弹簧-滑块模型来模拟管—土相互作用,如图3所示。弹簧的弹性系数为
      式中:d表示管线外径,mm;k为系数(取管径305mm对应的地基反力系数的值)。
2·2 管—土相互作用类型
      根据管线对土体有无抵制作用,可以将管—土相互作用分为2类。
      1)无抵制作用
      对于埋置深度不大(一般在1.5m以内)的地下管线,通常可以假设管线对周围土体移动没有抵抗能力,将沿土体的移动轨迹变形。Carder与Tayor[11]采取足尺试验,研究了置于不同土体中的埋置深度0.75m和直径100mm的铸铁管在邻近开挖影响下的性状改变情况。试验结果表明,管线的移动轨迹与所处地层土体移动轨迹相吻合。
      O′Rourke和Ahmed[12]等用二维及三维有限元模拟了深沟开挖对邻近铸铁管线的影响;分析结果表明,当管线与周围土体不产生相对位移时,可以不考虑施工对管线的影响。Nath[13]应用三维有限元模拟分析了管径75~450mm的铸铁管在埋深1.0m条件下对邻近地层开挖的响应;分析结果显示,管径小于150mm的铸铁管线对地层的移动几乎没有任何抵抗能力。Georgiadis[14]研究表明,埋置深度不大(通常在1.5m以内)的地下管线受到的作用力与土体移动的速度成幂指数关系。
  2)有抵抗作用
      当管线管径增大到一定程度后就会对周围土体的移动产生抵制作用,从而增大了管线破坏的风险。按照管线与周围土体的接触情况,对此又可分为管线与土体紧密接触和管线与土体分离2种情况。这方面的研究报道相对较少。
3 研究方法
3.1 地下管线的经验控制标准
      1)地层移动控制标准
      O′Rourke&Trautman[10]提出了一种管线损害评估的经验方法,主要参考指标是管线可能受损处的地层移动坡角Smax/i,它与可能的管线破坏的关系是高斯沉降分布的函数。对砂层中的浅埋隧道,规定了横向沉降槽的Smax/i限值,如表1所示。
  由于该方法没有考虑地层条件、管线种类等变化带来的风险,对于脆性材质管线如灰色铸铁管,上述评估方法并不适用。
      2)接头转角与脱开控制标准
      如表2所示,Attewell[9]等人给出了铸铁管在地层移动作用下接头转角与脱开的允许值。
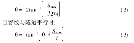
  在没有足够资料条件下,管线接头转角θ可以采用保守的估计,并取最大估计值。当管线与隧道横交时,
  将计算的估计值与表2的控制标准比较,可以做出管线的安全性评价。
      3)管线应变控制标准
      铸铁管对隧道开挖引起的拉应变比较敏感,一般压应变不起控制作用。总拉应变主要由2部分组成:与曲率相关的弯曲应变和轴向应变。受管线铸造质量等多种因素的影响,管线破裂时的拉应变值变化很大,一般在4000~6000με。铸铁的缺陷会引起应力集中,在管壁相对较薄地方的拉应变可以降到2000με[15]。另外,其他原因导致地层移动而引起管线的应力集中也会导致铸铁的质量退化[16]和腐蚀[17]。因此设计时需要考虑这些因素。Attewell等提出了在直接拉应力作用下总允许应变的限制范围,如表3所示;如果考虑地层移动作用下管线的附加应变,允许值的选用应该更加保守,如表4所示。