中国节能协会城轨交通节能专业专委会
中国勘察设计协会轨道交通分会
中国土木工程学会轨道交通分会
中国城市轨道交通协会设计咨询专业委员会

行业资讯

常导磁悬浮车辆支墩支承结构设计探讨

发布日期:2008-07-02 19:28

常导磁悬浮车辆支墩支承结构设计探讨
 
摘要:研究目的:磁悬浮列车在轨道上悬浮运行,具有快捷、安全、舒适、低噪声、无轮轨摩擦、无污染等优点,发展前景十分美好,必将成为21世纪的一种重要的交通工具。本文对常导磁悬浮车辆支墩结构的设计理论进行了探讨。
研究方法:上部支承结构计算按门式框架结构进行分析。底梁设计时沿线路纵向取1米宽底梁作为计算单元,按弹性地基梁理论进行内力和变形分析。
研究结果:结合磁悬浮工程,对其主要结构———车辆支墩结构设计,从设计荷载、计算模型、计算图式及结构计算方法、结构构造设计等方面进行了较为详尽的说明。其设计理论及结构设计方法已经用于多项工程实验。
研究结论:常导磁悬浮车辆支承墩的设计理论及结构设计方法,经工程实验及四年多的运营实践,证明设计合理、结构安全可靠,满足悬浮运行的要求,具有一定的推广价值。
关键词:常导磁悬浮;车辆支墩支承结构;设计;探讨
 
  磁悬浮列车在轨道上悬浮运行,具有快捷、安全、舒适、低噪声、无轮轨摩擦、无污染的优点,发展前景十分美好。科学家预言:磁悬浮列车是21世纪的一种重要的交通工具。
      磁悬浮列车的基本原理是:利用磁力克服地球引力,使列车在轨道上悬浮,并利用线性直线电机推动前进。与常规轮轨列车相比,磁悬浮列车主要有以下优点:
      (1)乘坐平稳舒适、噪音低。列车运行时处于悬浮状态,车身与轨道之间无接触,传统轮轨列车系统相互作用引起的振动在这里被消除了,因此运行平稳,乘坐舒适。由于没有轮轨之间的撞击和摩擦,磁悬浮列车运行时的噪音也是非常低的。
      (2)占地面积少、转弯半径小、爬坡能力强。磁悬浮铁路占地面积较少,当采用高架线时,其效果将更加突出。充分利用其转弯半径小、爬坡能力强的特点,则可适应较为复杂地形的地区,并能大量的减少工程数量,降低工程造价。
      (3)安全可靠。磁悬浮车体两侧是“包”在轨道上的,不存在脱轨掉道的问题。由于采用冗余结构等措施,能确保其安全可靠。
      (4)无轮轨磨损,寿命长,机械维修工作量非常低。
      (5)使用电力牵引,无空气污染,加之其低噪声的特点,有利于环境保护,特别适合作为城市内和市域区的交通工具。
1 国内外常导磁悬浮开发研究进程
1.1 国外常导磁悬浮直线电动机车辆及工程的研发进程简介
      常导磁悬浮直线电动机车辆的研究开发始于20世纪70年代,它是日本航空公司专为机场高速交通而开发的车辆交通系统,已历经30多年的发展历史。它由直线感应电机(Linearinductionmotor)推进,所以又称为“Linimo”型。在1989年的Yokohama博览会后,名古屋铁路集团、爱知县行政区和HSST公司联合建立了ChubuHSST公司(CHSST)来推进HSST的商业化。CHSST先后推出了两种商业化HSST型号:HSST—100S和HSST—100L,并在名古屋的大江修建了一条1.5km长的试验线,在上面进行了两种型号的全尺寸运营试验。为TKL线设计的TKL“Linimo”列车样车(属于HSST—100L型,结构方面有较大改进)也在上面进行了试验。同时确定了“常导磁悬浮直线电动机车辆”的基本构造。1993年,常导磁悬浮直线电动机车辆在大江试验线经过2年的运行试验,运输省得出了“关于实用化,技术层面上没有问题”的结论,爱知县得出了“作为城市市内交通系统,十分实用”的结论。而后开始了以提高系统维护性能和降低费用为目的的研究开发,继续进行耐久性试验。2000年2月,他们又成立了半公开的“AichiKosokuKotsu(AKK)”公司来专门运营TKL项目。
      为了迎接2005年“爱知”世博会,日本在名古屋(Nagoya)市郊的藤丘(Tobu)至万博八草(Kyuryo)建设了一条磁浮商业运营线(也称东部丘陵线,简称TKL)。该线全长9km,全程运行大约需要15min,列车最大速度为100km/h。每天能运送30000名乘客。
1.2 国内常导磁悬浮车辆及工程研发情况简介
      我国从80年代开始进行磁悬浮车辆研究。并于2001年4月建成了长204m中低速磁悬浮列车某试验线。2001年11月在北京市科委主持下,邀请国家科技部、某某省科技厅有关领导和包括5位中科院、工程院院士在内的国内相关领域的专家,通过了中试系统评审。现在,常导磁悬浮直线电动机车辆系统已经在试验线上安全试验运行了8000km之多。
2 线路及结构的主要特点
      由于磁浮列车系统车辆与轨道之间的无接触、无磨损的支承和导向,无接触的牵引和制动特性,对线路的曲线半径和爬坡能力有了极大改善,使选线有更大的灵活性。
2.1 转弯半径小。在曲线地段,为平衡侧向自由加速度,不论公路还是铁路,均设置横坡(超高)。速度越快,半径越小,横坡值越大。由于磁浮列车不存在轮轨接触,不会脱轨,其运行时也不会对轨道造成磨损,因此,可采用较大的横坡值;缓和曲线和横坡的线型,采用正弦曲线,其线型变化是圆顺的,动力学特性较佳,不产生突变点,而且其横坡角度变化完全以舒适度作为控制,不再受到防脱轨的限制。
2.2 爬坡能力强。列车在坡道上运行时,会产生沿坡道向下的重力分力。坡度越陡,载客越多,重力分力越大,对机车的牵引功率和粘轴能力的要求就越高。如法国高速轮轨列车TGV的最大坡度只达到3.5%。磁浮列车的直线电机被直接固定在转向架上,没有轮轨粘轴限制,列车的爬坡能力可达到10%。
2.3 磁浮列车的行进必须在地面上有一个坚实可靠的支承和供电系统,即线路系统。它包括轨道、线路梁及其支承结构、供电轨和信号系统等。磁浮列车的无接触支承、导向和驱动就是依靠上述的磁浮列车支承导向系统和轨道反应板相互作用来实现的。轨道结构在构造上应能满足轨道设备的安装、固定和界限等要求,并且满足磁浮列车的稳定供电及悬浮、导向和驱动等受力的要求。此外,还必须满足磁浮列车在不同环境条件下运行的舒适性和安全性。
3 支承结构设计
      磁悬浮线路工程是一项高科技、高技术含量的轨道交通工程。目前国内结构设计均无现成的经验、标准、规范作为依据。本着实验指导设计,设计依靠实验的原则,在某试验线建成后,经过4年多运行实验,取得一些工程设计所需的相关资料或数据。下面对支墩型式的支承结构设计作一介绍。
3.1 设计规范及设计荷载
3.1.1 采用设计规范
      (1)《铁路路基支挡结构设计规范》(TB10025—2001)
      (2)《铁路桥涵设计基本规范》(TB1002·1—99)
      (3)《铁路桥涵钢筋混凝土和预应力混凝土结构设计规范》(TB1002·3—99)
      (4)《铁路桥涵地基和基础设计规范》(TB1002·5—99)
      (5)《铁路工程抗震设计规范》(GBJ111—87)
3.1.2 采用设计荷载
3.1.2.1 列车活载:
      列车活载为均布活载。列车车长XXm,为均布活载。每延米XXkN/m。设计加载时,对结构设计分别按一辆车、两辆车……五辆车分别加载,取其最不利工况进行设计。
      列车荷载冲击系数取0.XX。
      曲线门式框架结构的离心力率C值计算参见《铁路桥涵设计基本规范》。
3.1.2.2 恒载:
      (1)线路设备重—含导轨、钢枕、反应板、轨枕下橡胶垫板及与门式框架结构联接用的锚固螺栓等。
      (2)门式框架结构两侧的供电轨,其恒载共计每延米XXkN/m。
3.1.2.3 最大牵引力XXkN/m。
3.1.2.4 最大制动力XXkN/m。
3.1.2.5 地震力计算按《铁路工程抗震设计规范》设计,并采取相应的抗震措施。
      设计荷载组合如表1所示。
3.2 计算图式及结构计算
3.2.1 计算图式
      (1)动力分析模型图式如图1所示。
      (2)活载计算纵向图式如图2所示。
      (3)活载计算横向图式如图3所示。
3.2.2 结构计算
3.2.2.1 上部支承结构计算(包括:纵梁、横梁、支墩)。
3.2.2.1.1 纵梁计算
      (1)单元划分:在支墩、距支墩1/2及距支墩1/4处截面处均应设置节点。
      (2)按门式框架结构进行分析。
3.2.2.1.2 横梁计算
      (1)横梁板的计算。
      (2)横向闭合框架计算横梁。
3.2.2.1.3 支墩计算
      (1)支墩的计算。
      (2)端部锚固区段局部应力计算。
3.2.2.1.4 局部计算
      支墩底部的局部承压。
3.2.2.2 下部支承结构(底板、或称底梁)
      作用在底板的恒载为门式框架结构自重、底板自重。活载为磁悬浮列车荷载。
3.2.2.2.1 底梁设计时沿线路纵向取1m宽底梁作为计算单元,按弹性地基梁理论进行内力和变形分析。
3.2.2.2.2 内力和变形计算———根据弹性半无限体理论,弹性地基梁的挠度曲线微分方程为
      式中 E、u、I———弹性地基梁的弹性模量、泊松比、惯性矩;
               q(x)———地基梁所受荷载;
               P(x)———地基的反力。
      静力平衡条件
ΣQ=0;ΣM=0
      变形协调条件 梁的挠度等于地基的沉陷变形。由于弹性地基梁所受荷载类型复杂,曲线微分方程中待定系数多,计算工作大。采用近似按平面应变问题处理。可简化计算工作。
      计算时将底板上分布的荷载类型(均布荷载、集中荷载、力偶荷载)分别进行内力、变形计算,再叠加。
3.2.2.2.3 手算公式———手算时采用弹性半无限体理论分析法中的级数法,这种方法已有备表。计算用表可查询铁路工程设计技术手册《桥梁地基与基础》中的有关章节。不再叙述。
3.2.3 结构物计算主要技术要求
3.2.3.1 主要技术标准
      (1)结构物使用寿命:100年。
      (2)结构物的设计烈度按地震烈度提高1度考虑。
3.2.3.2 计算方法-钢筋混凝土结构按容许应力法。
3.2.3.3 主要材料
      (1)混凝土及钢筋混凝土均采用C25。
      (2)钢筋螺纹筋采用HRB335钢筋,光钢筋采用HPB235钢筋。
3.3 结构计算具体步骤简述
      本结构设计计算分为支墩、纵梁、横梁、圈梁、底板、车挡共计6个部分。其中底板采用现场浇注C25钢筋混凝土条形整体底板,并与支墩浇注成整体;车挡采用C25钢筋混凝土现场浇注台阶形整体结构,设置于底板上部,并与底板及支墩浇注成整体;支墩与纵梁、支墩及横梁均采用C25钢筋混凝土现场浇注,由于本次设计采用门式框架结构,所以一根横梁联接两根支墩,支墩纵向间距采用2.40m,横向间距采用1.0m,支墩与横梁均采用等截面正方形设计。纵梁沿线路方向将支墩连接成整体,纵梁截面0.4m×0.2m,并与支墩及横梁浇注成整体。圈梁采用C25钢筋混凝土现场浇注长方形结构,四角与支墩连接成整体。结构计算采用容许应力法,具体计算方法如下:
3.3.1 纵梁计算
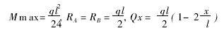
3.3.1.1 内力(弯矩、剪力、支座反力)计算:采用两端固定梁方法,受均布荷载作用。计算它的最大弯矩和支座反力或剪力,采用其中最大值配钢筋。采用的公式如下:
      式中 Mmax———均布荷载作用下产生最大弯矩(kN·m);
               RA、RB———均布荷载作用下两端支座点的反力(kN);
               q———作用在纵梁上的均布荷载(kN/m);
               l———纵梁的跨度(m);
               x———0.211l或0.789l。
3.3.1.2截面设计:根据已知荷载和材料来选择混凝土和钢筋的截面尺寸,并结合钢筋的直径和根数布置钢筋。
      (1)首先假设梁宽b,计算有效高度h0。
      采用的公式如下:
      式中 Ag———受拉钢筋总截面积;
              C2、C4———截面系数(可查表,见铁路工程设计
      技术手册《路基》附录),其余符号同前。
      (2)计算梁的配筋率μ
μ=Ag/bh0
      (3)强度复核:截面强度复核是根据已知截面,验算钢筋和混凝土的应力是否超出规范规定的允许应力,或验算钢筋和混凝土的抵抗弯矩是否大于或等于最大荷载弯矩。
      采用的公式如下:
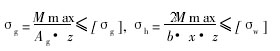
      式中 σg———受拉钢筋的应力;
           σh———混凝土应力;
             [σg]—钢筋的容许拉应力;
             [σw]—混凝土弯曲受压时的容许压应力;
           x———中行轴位置;
           z———内力偶臂长,其余符号同前。
3.3.1.3 剪应力计算:
      (1)首先计算矩形截面的剪应力采用的公式如下:
      式中 Qmax———某一截面的剪力;
               [σzl-3]———全由混凝土承受主拉应力,其余符号同前。
      然后用Qh=0.07Ra×b×h0≥KQ来应算斜截面抗剪强度。
      (2)当梁支座截面处的剪应力τ0max<[σzl-2]或Qh>KQ时,箍筋与斜筋可按构造要求设置,不再进行计算。
      当[σzl-1]>τ0max>[σzl-2]或者Qh≤KQ时,则必须设计剪力钢筋来承受主拉应力。
      采用的公式如下:
      式中 [σzl-1]———有箍筋及斜筋的混凝土主拉应力;
               [σzl-2]———无箍筋及斜筋的混凝土主拉应力;
               ω———斜筋承受的剪应力图面积;
               n———每道箍筋的支数或斜筋的根数;
               αω———每根斜筋的截面积;
               Aω———所需配筋的总面积;
               αk———每支斜筋的截面积;
               S———箍筋的间距,其余符号同前。
3.3.1.4 裂缝检算:
      采用的公式如下:
      式中 σg———受拉钢筋的应力;
              d———受拉钢筋直径;
              Eg———钢筋弹性模量;
              μz———受拉钢筋有效配筋率;
              γ———距离比值,可取1.1~1.2,其余符号同前。
      当δfmax在主力作用下小于0.2mm时,在主力及附加力作用下小于0.25mm,认为满足要求。
3.3.2 车挡结构设计
      车挡所受的力为集中力,首先计算截面所受的剪力和弯矩。在根据弯矩的大小,进行车挡截面的设计和钢筋的配置。第三步,根据弯矩的大小、钢筋的配置多少以及截面尺寸,来进行截面强度的复核,计算钢筋和混凝土的应力。第四步对薄弱断面进行截面设计检算和剪应力计算。以上第三步和第四步计算结果均必须小于规范规定的允许值,否则要重新修改截面的尺寸或者多配置钢筋来满足工程设计要求。
4 结束语
      经过国内外30多年来,对常导磁悬浮直线电动机车辆的开发研究及耐久性试验。尤以它在轨道上悬浮运行时,所具有的快捷、安全、舒适、低噪声、无轮轨摩擦、无污染等特殊优点。这种面向未来的环保型地面运输系统———磁悬浮系统工程,必将成为21世纪的一种重要的城市及市域轨道交通系统。
      本文重点介绍了磁悬浮工程支墩型式支承结构设计,笔者认为,此方法是设计中可采用的一种计算方法,仅供同仁们参考。
 
参考文献:
[1]阳建鸣编译.日本常导磁悬浮直线电动机车辆33年的实用化进程[J].现代城市轨道交通,2005,(4):48-50.
[2]胡人礼.铁路工程设计技术手册·桥梁地基和基础[M].北京:中国铁道出版社,1991.
[3]吴祥明.磁浮列车[M].上海:上海科学技术出版社,2003.
[4]李毓林.铁路工程设计技术手册·路基[M].北京:中国铁道出版社,1984.
[5]TB1002·1—99,铁路桥涵设计基本规范[S].