中国节能协会城轨交通节能专业专委会
中国勘察设计协会轨道交通分会
中国土木工程学会轨道交通分会
中国城市轨道交通协会设计咨询专业委员会

行业资讯

探讨建筑施工中的高支模设计

发布日期:2008-07-04 20:32

探讨建筑施工中的高支模设计
 
摘 要:结合广州地铁四号线琶—仑盾构区间土建工程始发站的施工,为确保大体积现浇砼的施工安全,通过论证采用钢管脚手架搭设满堂红支撑排架平台,供现浇砼施工铺设模板,保证现浇砼施工过程的安全,由此说明在建筑工程施工过程中,重视技术措施为安全生产起到了重要的作用。
关键词:建筑施工;高支模;混凝土;钢管脚手架
 
1 概述
      建筑工程施工中,大体积现浇砼构件的施工经常见到,其特点是浇筑块体积大、底部空间较高,对模板体系的安全稳定要求高,在建设管理中要求有专项设计方案。高支模大体积砼施工一旦发生坍塌事故,必将造成重特大安全伤亡事故,应当引起施工人员的高度重视。为防止重大安全事故的发生,除了认真做好安全生产管理的日常工作以外,制定最优的专项安全技术施工方案,是其关键。结合广州地铁四号线琶—仑盾构区间土建工程始发站的施工,探讨大体积现浇砼高支模设计思路,以供有关专业人士参考。
2 工程特点
      广州市地铁四号线琶—仑盾构区间土建工程始发站,在始发站的始发井中左右线各有一块封堵的钢筋砼顶板,封堵顶板为现浇砼施工,顶板砼厚度1000mm,板的平面尺寸为11500mm×7500mm,顶板砼方量86m3,重量是215t,顶板下面空间高度达7.3m。由于现浇砼方量多、重量大、底部空间高,模板体系的安全稳定问题,是本项目施工的重大危险源。为此,工程项目部高度重视专项安全技术施工方案的编制,从技术上充分地满足施工安全条件。通过多组方案的技术经济比较,最终选择在顶板下面搭设钢管扣件式“满堂红”支撑排架的方案,满足顶板现浇砼施工的安全要求,确保了施工全过程无事故,得到了工程投资商的高度赞扬,并获得了“广州市安全文明施工样板工地”荣誉称号。
3 钢管支撑排架的安全性核算
      本工程搭设钢管扣件式满堂红支撑排架,选用 Ø48×3.5钢管脚手管,组成“满堂红”支撑排架如图1所示。钢管立杆纵向间距为700mm,立杆横向间距为700mm,水平步距为1000mm,支架四边与中间每隔4根支架立杆设置1道纵向剪刀撑,由底部到顶连续设置,高于4m的支架,其两端及中间每隔4排立杆从顶层开始向下每隔2步设置一道剪刀撑连接加固。钢管支撑顶托上面放1根14cm×14cm方木将荷载传到钢管立杆上,纵向布置方木10cm×10cm按间距30cm排放,方木上面再铺放散装或大块钢模板。
      荷载传递路径是:施工荷载、砼和模板自重;钢管立杆顶部方木;钢管立杆;立杆底座(垫板);地基。
3.1 纵向方木截面强度核算
      方木按照均布荷载下三跨连续梁计算。
3.1.1 荷载的计算
      按《钢筋砼工程施工规范》规定计得:
      (1)钢筋混凝土板自重:q11=7.5kN/m;
      (2)模板、方木的自重线荷载:q12=0.105kN/m;
      (3)活荷载:q22=0.9kN/m;
      最后组合得:静荷载q1=9.126kN/m,活荷载q2=1.26kN/m,q=10.386kN/m。
3.1.2 方木的截面强度核算:
      查《建筑结构静力计算手册》,计算如下:
      最大弯矩M=0.1q12=0.509kN·m;
      最大剪力Q=0.6q1=4.362kN;
      最大支座力N=1.1q1=7.997kN;
3.2 横向方木截面强度核算
      方木按照均布荷载下三跨连续梁计算。
3.2.1 荷载的计算
      按《钢筋砼工程施工规范》规定计得:
      (1)钢筋混凝土板自重:q11=17.5kN/m;
      (2)模板的自重线荷载:q12=0.245kN/m;
      (3)活荷载:q22=2.1kN/m
      最后组合得:静荷载q1=21.29kN/m,活荷载q2=2.94kN/m,q=24.23kN/m。
3.2.2 方木的截面强度核算
      查《建筑结构静力计算手册》,计算如下:
      最大弯矩M=0.1q21=1.187kN·m
      最大剪力Q=0.6q1=10.18kN
      最大支座力N=1.1q1=18.657kN
      方木的截面力学参数:W=457.33cm3;I=3201.33cm4
      最大变形f=0.13mm<[f]=2.8mm,符合要求。
3.3 钢管支撑立杆的稳定性核算
      立杆采用 48×3.5脚手管:A=4.89cm2;W=5.08cm3;i=1.58cm,选用水平投影面积0.7×0.7m2计算得:
      (1)静荷载:
      ①自重:NG1=1.088kN;
      ②模板的自重:NG2=0.368kN;
      ③钢筋混凝土楼板自重:NG3=12.25kN
      合计:NG=13.706kN
      (2)活荷载按《钢筋砼工程施工规范》要求计得:NQ=1.47kN;
      (3)立杆的轴向压力按式N=1.2NG+1.4NQ计算得N=18.505kN;
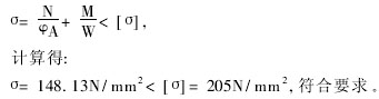
      (4)立杆的稳定性在同时考虑垂直荷载和风荷载作用时,按下式:
3.4 立杆地基承载力的核算
      因为立杆是支承在已经浇筑的砼地板上,所以立杆地基承载力能满足要求。
4 钢管扣件式支撑排架的搭设
4.1 支撑排架搭设流程
      立杆定位放线→铺设底座(垫板)→放置立杆→放置扫地杆→第一步纵向水平杆→第一步横向水平杆→如此重复往上→设置剪刀撑→放置顶插、方木和模板→检查、验收。
4.2 支撑排架搭设的构造要求
      (1)支撑排架的立杆、纵向水平杆、横向水平杆、剪刀撑、扣件、立杆底部垫板和立杆顶托等均必须符合《建筑施工扣件式钢管脚手架安全技术规范》要求;
      (2)钢管:采用 48×3.5脚手管,弯曲变形、锈蚀钢管不得使用;
      (3)扣件:可锻铸件制作,材质符合《钢管脚手架扣件》(GB15831)的规定,分直角扣件、旋转扣件、对接扣件;
      (4)方木:10cm×10cm×300cm;14cm×14cm×400cm,有腐烂或变形弯曲的,不得使用。
5 结束语
      要确保在高大空间情况下现浇砼的施工安全,必须认真做好专项施工方案的安全核算工作。特别是高支模排架的结构计算,各种构件的强度和稳定性,满足安全要求是重中之重。广州市地铁四号线琶—仑盾构区间土建工程始发站的始发井处的封堵顶板的现浇砼施工过程能顺利安全无事故,很重要的一点就是在技术上充分地考虑到满足安全条件,重视技术手段去消除安全隐患,确保施工全过程的安全。
 
参考文献:
[1] 袁必勤,徐崇宝,等.建筑施工扣件式钢管脚手架安全技术规范[M].北京:中国建筑工业出版社,2001.