轨道交通11号线北段二期GPS控制网的研究
【摘 要】轨道交通11号线是上海市轨道网络中构成线网主要骨架的4条市域线之一。北段二期工程线路规划起点为长宁区华山路站终点位于浦东新区罗山路站。G P S定位技术一经应用于测量工程,就以其灵活性,全天候,高精度,自动化的显著优势使其成为控制测量中的主要技术。该文通过对轨道交通11号线北段二期GPS控制网的研究,系统地介绍了GPS控制网运用于轨道交通项目控制测量的基本原理、主要技术措施。较为详细地介绍了GPS控制网的设计方案、具体布测实施和GPS控制网成果的精度分析及检验。
【关键词】GPS;控制测量;GPS控制网;轨道交通;上海
1、绪论
1.1 轨道交通11号线北段二期概况
轨道交通11号线是上海市轨道网络中构成线网主要骨架的4条市域线之一,其在轨道交通网络中具有相当重要的地位。设计中的11号线主线是从嘉定经中心城至临港新城,是贯通上海市西北地区-东南区域临港新城的一条主干线。
轨道交通11号线北段二期工程线路规划起点为长宁区华山路站,沿线经过长宁、徐汇、新浦东新区等三个行政区,二期工程的设计终点位于浦东新区康桥路罗山路东北侧的罗山路站。
11号线北段二期工程线路长约20.88 km(包括停车场约21.88 km),设计中全部为地下线。沿线车站依次为:上海交通大学站(换乘10号线)、徐家汇站(换乘9号线)、上海体育馆站(换乘4号线)、龙华站(换乘12号线)、云锦路站、石龙路站、济阳路站(换乘6号线和8号线)、三林站、东明路站、浦三路站、严御路站、御桥站、罗山路站,如图1所示。

1.2 GP S概论
GPS是美国国防部为其军事需用而研制的全球性的卫星导航定位系统,经历了预研、总体设计研究、系统试验和卫星研制、生产应用等四个阶段,历时23 a,耗资150亿美元。整个系统包括空间,地面控制,用户接收3个部分。每颗GPS卫星均可连续地发送2个L频带的载波,载波上调制了多种信号,用于计算卫星的位置,识别卫星等目的。地面接收机可以在任何时间,地点进行连续观测,并且在时钟控制下,测定出卫星信号到达接收机的时间Δt,进而确定卫星与接收机之间距离P。P=c·Δt+∑δi(式中,c为信号传播速度,∑δi为有关的改正数之和)。
1.3 GPS控制测量概论
GPS定位技术一经应用于测量工程,就以其灵活性,全天候,高精度,自动化的显著优势令经典大地测量刮目相看。相对于经典测量学来说,这一新技术的主要特点如下:(1)点位选设灵活,点间无需通视;(2)全天适时定位,免受气候限制;3)精度大为提高,耗费大为降低;(4)简捷轻便迅速,自动化程度高。
GPS控制测量工作与经典大地测量工作相类似,按其性质可分为外业和内业两大部分。其中:外业工作主要包括选点、建立观测标志、野外观测作业以及成果质量检核等;内业工作主要包括GPS测量的技术设计、测后数据处理以及技术总结等。如果按照GPS测量实施的工作程序,则大体可分为这样几个阶段:技术设计;选点与建立标志;外业观测;成果检核与处理。图2为GPS控制测量工作流程图。

2、GP S平面控制网的布设
2.1 技术设计
2.1.1 技术依据
(1)GB50308-2008《城市轨道交通工程测量规范》;
(2)GB/T 18314-2001《全球定位系统(GPS)测量规范》;
(3)CJJ 8-99《城市测量规范》;
(4)CH1002-95《测绘产品检查验收规定》;
(5)GB50308-2008《城市轨道交通工程测量规范》;
(6)其他相关规范及规程要求。
2.1.2 技术要求
2.1.2.1 坐标系统
为保证该工程平面坐标系统与现有城市坐标系统和已建或在建的轨道交通坐标系统相一致,其测量的平面坐标系统采用上海平面坐标系统(可转换成地铁坐标系统)。
地铁坐标系与上海平面坐标系的换算关系如下:
X地铁=X城市+30 000
Y地铁=Y城市+15 000
2.1.2.2 GPS控制网的技术要求
(1)GPS控制网的主要技术指标应满足表1的要求。

(2)GPS平面控制网的测量是采用静态定位技术。由于上海市的GPS首级、加密控制点之间的距离较长,因此为保证测量的精度,在已有的GPS首级、加密控制点上设站观测时必须采用GPS双频接收机。每个观测时段长度为90 min;对于站间点每个观测时段长度不小于60 min。采样间隔为10 s。
(3)点位几何图形强度因子PDOP值应小于6,卫星截止高度角大于15°,有效卫星数大于4颗,独立闭合环的边数不大于6条,重复设站数不小于2,施测具体要求按GB/T 18314-2001《全球定位系统(GPS)测量规范》中的要求执行。
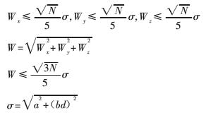
(4)GPS首级控制网均必须构成异步环。GPS平面控制网外业观测的全部数据应经同步环、独立环及复测边检核,并满足下列条件:
a.同步环各坐标分量及全长闭合差满足下列各式要求:
式中:N———同步环基线边的个数;
W———环闭合差;
σ———标准差,即基线向量的弦长中误差(mm);
a———固定误差(mm),该网中取a=5 mm;
b———比例误差系数(1×10-)6,该网中取b=1;
d———GPS控制网相邻点间的平均距离(km)。
b.独立基线构成的独立环各坐标分量及全长闭合差应满足下列各式要求:
式中:n———同一边复测的次数,该网中取n=2。
GPS观测采用双频高精度GPS接收机,仪器标称精度为5 mm+1 ppm·D。
2.2 GPS网的图形设计
常规测量中控制图形设计是一项非常重要的工作,而在GPS图形设计时,因GPS同步观测不要求通视,所以图形设计具有很大的灵活性,但还应注意以下几点:
(1)GPS网的点与点间尽管不要求通视,但要考虑到利用常规测量加密时的需求,每点应有一个以上通视方向。
(2)GPS网必须由非同步独立观测边构成若干个闭合环或附合路线。
2.3 GPS平面控制网的布设
轨道交通11号线北段二期工程长距离、直伸性的特点,决定了工程不可能用最高精度和较大密度的控制网一次覆盖整个工程。为了满足工程各施工阶段不同的精度需求,采用分级布网、逐级控制的原则是十分必要的。即先以精度高而稀疏的首级控制网覆盖整个工程路线,然后根据工程的分阶段及设计车站的需求,进行控制网的加密。这样,首级点可以选定在受施工区影响的范围外,保证点位的稳定性。而加密点则可以布设在方便施工测量利用的区域,给施工测量提供了方便。在点位发生移动时,也可以利用首级控制点进行及时的恢复。
2.3.1 GPS首级控制网的布设
考虑到轨道交通11号线的整体性,在平面控制网布设时,需将上海浦西、浦东、11号线一期工程等纳入一个控制网。
故这次布设的GPS首级网一共有10点,其中G2028(疗养院)、GJ04(测绘院)、GJ09(莘庄)、G2029(水泥厂)、G2031(邱家桥)是上海市GPS首级控制点,将作为这次GPS首级控制网的起算点;另外G3309(24号公寓)、G3319(兴荣花园)、G3320(陈水关桥)、G3141(上粮六库)、G4269(周浦)5点是原有上海市GPS控制点,这次将这些点位标志加以利用并测量,形成了这次GPS的首级控制网。为方便测量成果使用,将点G3309、G3319、G3320、G3141、G4269重新编号为:TA001、TA002、TA003、TA004、TA005。
另外G2028和TA001是与该线北段一期相同的首级控制点,保证了一、二期成果的一致性。故在考虑到轨道交通11号线的整体性,兼顾上海浦西、浦东、11号线一期工程等具体情况下布设了这次GPS首级控制网。
2.3.2 GPS加密网的布设
由于该工程距离长,车站多等情况,GPS首级控制网根本无法满足现场施工的需求。因此,应建立相应的加密平面控制网,针对每一个车站,原则上选择一点作为GPS平面控制点,相邻车站的控制点间须保持相互通视。
故该工程GPS加密网在北段二期GPS首级网的基础上进行加密布设,整网共27点,起算点利用二期GPS首级控制点共8点(G2028、GJ04、GJ09、TA001至TA005);新布设加密控制点共17点,其中每个车站各1点共12点、车站区间加密点5点;另外经调查,11号线一期平面控制网点T1133、T1134A稳定可靠,直接利用作为这次GPS加密网控制点。
新布设的加密控制点采用统一编号,主线从T1140(徐家汇站)开始沿线路前进方向顺次编号为T1141(上体馆站)、T1142至T11n。利用已建轨道交通平面控制网点T1133和T1134A重新命名为T1138、T1139。
2.4 仪器设备
为了确保该工程建设的顺利进行,该项目控制测量均采用高精度测量仪器。
其中GPS测量采用Ashtech系列高精度双频GPS接收机。
Ashtech仪器各项参数如下:
静态,快速静态标称精度
水平:5 mm+1 ppm
垂直:10 mm+1 ppm
实时码相位差分定位:小于1 m
全站仪采用Leica TC2003全站仪。该系列仪器广泛应用于变形监测等精密工程测量中,对测距、测角有严格的要求。测角为精度0.5″,测距精度为1 mm±1ppm·D,及与仪器配套的棱镜、花杆。
所使用的仪器设备均由法定计量检验单位检测,各项性能指标符合规定要求。
3、GPS平面控制网的施测
3.1 选点
在充分考虑控制网为施工建设服务的前提下,平面控制点宜选在靠近线路设计车站附近的坚实稳定的建筑物顶上。
GPS控制点位的选择应遵循以下原则:
(1)拟选点建筑物宜为已建5 a以上,且基础坚实稳定,以利于控制点的长期保存。
(2)控制点应远离高压输电线和大功率无线电发射装置,其间距分别不小于50 m和200 m。
(3)控制点应视野开阔,被测卫星的地平高度角应>15°,并避开GPS观测时多路径效应的影响。
(4)控制点的选择应利于施工放样的要求,施工放样时的俯角应不大于30°。
(5)控制点标志应采用1.2 m强制归心钢标,以避免对点误差,并安装避雷装置。
(6)控制点之间的边长宜控制在1 000 m左右,最大边长不超过2 000 m,最小边长不小于500 m。
(7)每一车站选择一点作为GPS平面控制点,相邻车站的控制点间必须保持相互通视(如不通视或车站间距过长,应适当加密保证通视)。
根据以上原则选择好GPS点之后,应该埋设牢固的测绘标志。为精确点位,该测绘标志必须稳定、坚固以利长久保存和利用。
3.2 造标
为了测绘标志能够稳定、坚固以利长久保存和利用。所以平面控制点应采用1.2 m钢结构强制归心标架,埋设时,应先铲除建筑物顶部的柏油层,铲除范围为1.5 m×1.5 m,并用凿子打毛,扫除垃圾后,打湿,用木板围成现浇模板后,铺垫5~10 cm的混凝土,再在其上安置标架后捣浇混凝土。
3.3 绘制点之记
为了有便于日后寻找、使用GPS控制点,需要将GPS控制点的点位绘制成工程测量桩位点之记。点之记绘制的要求有以下几点:
(1)明确表明该GPS的点号,如:T1144。
(2)明确表明桩别,也就是说明测绘标志的类型,如:1.2 m强制归心标。
(3)清楚明了地绘制该GPS点的具体位置,要有主要道路、建筑、门牌号等等。
(4)要记录该GPS点的具体地址,如:上海英华美精文学院屋顶。
(5)要记录使用该GPS点需联系的部门和人员的具体联系方式,如:联系沈老师(教导主任)64566983。
(6)要记录使用该GPS点需注意事项,如:需带4 m梯子、带好工作证、介绍信等等。
3.4 GPS观测准备
在进行GPS观测前应进行如下准备工作:
(1)GPS控制测量前,应对GPS接收机和天线等设备进行全面检验。接收机在一般检视和通电检验后,还应进行GPS接收机内部噪声水平的测试、天线平均相位中心稳定性检验等检测。
(2)观测前应编制GPS卫星可见性预报表,其内容包括可见卫星号、卫星高度角和方位角、最佳观测卫星组的最佳观测时间、点位几何图形强度因子(PDOP)等。
(3)这次测量共组织7台双频AshtechZ-XTREME接收机进行观测,每台机器配备2块电池,能保证每天多于8 h的供电。
(4)观测人员领好所需设备(接收机、已校正基座、对讲机、观测手簿、卷尺等)并进行自检。
3.5 GP S观测计划
由于这次测量所需精度高、所使用仪器设备及人员较多,故应在观测之前制定观测计划,并按计划执行。例如GPS首级网观测计划如表2所示。

3.6 GPS野外观测及记录
GPS平面控制网的测量采用静态定位技术,由于上海市GPS首级、加密控制点之间的距离较长,因此为保证测量的精度,在已有的GPS首级、加密控制点上设站观测时采用双频接收机。每个观测时段长度为90 min;对于站间点每个观测时段长度不小于60 min。采样间隔为10 s。
对中整平需严格,建议开机之前观察仪器对中整平的状态,进行再一次对中整平,将此类误差对解算结果的影响降至最低。
每时段观测前应在每隔120°处量测天线高,天线高一律量到强制归心板面,量取读记至mm,三次互差不超过3 mm,并详细记录在手簿中,取三次平均值为天线高最终计算值。
如观测中遇到接收机发生问题、换电池及一些不可预见因素造成的信息中断,应及时与项目负责人联系和解决,处理好后继续观测,并将情况详细记载到手簿上,写明何时中断、何时又重新接收。
GPS接收机开始记录时,应及时将测站号、天线高读数、天线高加常数信息输入接收机并填写观测记录。记录方法如图3所示。

4、GPS平面控制网的数据处理
GPS接收机采集记录的接收机天线至卫星伪距、载波相位和卫星星历等数据必须通过GPS数据处理才能得到最终的测量定位成果。数据处理过程大致分为GPS测量数据的数据传输、基线向量解算、GPS基线向量网平差等几个阶段。数据处理的基本流程如图4所示。

4.1 数据传输
GPS接收机采集的数据记录在接收机的内存模块或记忆卡上。数据传输是用专用电缆将接收机与计算机连接,并使用Ashtech Solutions 2.5处理软件的菜单中选择传输数据选项后,便将观测数据传输至计算机。数据传输的同时进行数据分流,生成三个数据文件:b文件、e文件、s文件。这三个文件包含了载波相位和伪距观测值、星历参数、电离层参数和UTC参数、测站信息等内容。
4.2 基线解算及网平差
GPS基线向量表示了各测站间的一种位置关系,即测站与测站间的坐标增量。GPS基线向量与常规测量中的基线是有区别的,常规测量中的基线只有长度属性,而GPS基线向量则具有长度、水平方位和垂直方位等三项属性。GPS基线向量是GPS同步观测的直接结果,也是进行GPS网平差,获取最终点位的观测值。
目前进行基线解算和网平差使用的是BALNET软件。它是一款包括了GPS快速静态定位、坐标转换、GPS网平差和高程计算等功能的软件。
5、GPS成果的精度分析及精度检验
5.1 GPS成果的精度分析
5.1.1 GPS首级网
计算时首先分时段计算出各时段的基线文件,把各个时段的所有需要参与计算的基线在WGS-84坐标系中进行无约束平差,要求基线向量改正数绝对值V≤3σ,然后固定起算点坐标在上海城市坐标系中进行约束平差。网平差时考虑到此次控制网与该线一期控制网衔接的问题,故解算2套平差方案综合分析如下:
A,起算点为G2028、G2029、G2031、GJ09、GJ04进行网平差;
B,起算点为G2028、G2029、G2031、GJ09、GJ04、TA001(G3309)进行网平差。
分析比较2种平差方案的结果后发现,方案A在与一期控制网衔接的同时能够更好地反映该网的精度,保持该网的相对独立,所以最后采用方案A作为这次GPS首级网测量的网平差方案。网平差时只保留重复边基线G2028-GJ09、GJ09-TA004、TA004-TA005、TA005-TA002、TA002-TA001、TA001-G2028,其它重复边基线均不保留,使其构成异步环,约束平差基线向量改正数与无约束平差同名基线向量改正数两者差值dv≤2σ,平差后按该工程平面控制测量精度要求与精度指标进行检查。平差解算后GPS首级网各项精度指标如下:
最弱闭合环相对误差:2.23 ppm;
尺度因子K=-11.333 5;
旋转因子@=-0.010 9;
平面坐标最大点位误差:±0.87 cm;
最弱边相对误差:1.02 ppm。
5.1.2 GP S加密网
由于这次GPS加密网平差利用了一期的加密控制点T1133(华山路风井)和T1134A(交通大学站),解算时也解算2套平差方案综合分析如下:
A,起算点为G2028、GJ04、GJ09、TA001、TA002、TA003、TA004、TA005,其中TA001(G3309)利用该线北段一期测量成果;
B,起算点为G2028、GJ04、GJ09、TA002、TA003、TA004、TA005。
分析比较2种平差方案的结果后发现,方案A优于方案B,最后采用方案A作为这次GPS加密网平差计算的方案。网平差时基线G2028-GJ04、GJ04-TA001、TA001-TA002、TA002-TA003、TA003-TA005、TA005-TA004、TA004-GJ09、GJ09-G2028采用首级网观测数据,其它均采用加密网观测数据,且重复边基线均不保留,平差后按该工程平面控制测量精度要求与精度指标进行检查。
GPS加密网平差解算后各项精度指标如下:
最弱闭合环相对误差:2.74 ppm;
尺度因子K=-11.203 1;
旋转因子@=0.034 0;
平面坐标最大点位误差:±0.67 cm;
最弱边相对误差:6.96 ppm。
以上GPS首级网和加密网各数据质量可靠,计算结果优良,各种数据成果均在限差以内,实测结果均优于GB50308-2008《地下铁路、轻轨交通工程测量规范》所规定的精度指标,能够满足11号线北段二期工程测量的精度要求。
5.2 GPS成果的精度检验
5.2.1 距离检测
该工程GPS加密网中各相邻控制点间均相互通视,故按照设计要求,对全线控制点进行了光电测距。
5.2.1.1 光电测距检测技术指标
这次光电测距检测使用仪器为Leica TC2003全站仪,该仪器的测角中误差为±0.5″,测距精度为1+1×10-6·D(mm),经鉴定合格,边长观测的各项限差按表3的要求执行。

5.2.1.2 数据分析及结论
这次实测距离与提供数据反算距离比较成果如表4所列。

从表4可以看出,控制点间光电实测距离与反算距离的最弱相对精度为1/146 100,优于设计规定的精度要求。
5.2.2 控制点的坐标比较
5.2.2.1 与现有城市控制点的坐标比较
这次测量的成果与现有城市三等加密控制点的坐标较差在规定的±50 mm限差之内,符合设计方案的要求。
5.2.2.2 与北段一期衔接点的坐标比较
(1)共用首级控制点的比较。经过平差计算,北段一、二期共用平面控制点TA001(G3309)的坐标较差为19 mm,符合规范规定的±25 mm限差要求。考虑到一期工程已于2005年开始施工,为使二期控制能更好地与在建的一期工程衔接,故二期控制点TA001(G3309)成果采用一期的成果数据。
(2)利用加密控制点的比较。这次测量中T1138(T1133)、T1139(T1134A)成果与一期成果比较见表5所示。

表5所反映的控制点T1138、T1139的一、二期点位坐标较差分别为41 mm和37 mm,主要是由于一、二期控制网的布设区域不同,且间隔时间较长等原因造成,在其它轨道交通工程衔接控制网中也时有发生,属于正常的点位偏差范围。故T1138、T1139采用这次测量的成果。
6、结语
轨道交通11号线工程是一个投资巨大、工期较长、参与单位较多的建设项目。常规测量手段不仅实施困难而且精度较难达到要求。因此,利用现代测量手段建立一个统一、连续、高精度GPS平面控制网是非常必要的。它可以为地铁工程施工提供有力技术保证,可以为地铁工程带来更高的作业效率和较大的经济效益。
对GPS控制网的布设与数据处理,其经验的积累和知识的更新是至关重要的,也是无止境的,且GPS在迅速更新换代,要想更好地应用GPS技术为测绘服务,还需在实践中不断地努力研究GPS误差理论和GPS测量新技术等诸多方面的问题。
参考文献
[1] 孔祥元,梅是义.控制测量学[M].北京:测绘出版社,1993.
[2] 秦长利.城市轨道交通工程测量[M].北京:中国建筑工业出版社,2008.
[3] GB50308-2008,城市轨道交通工程测量规范[S].
[4] 季斌德,邵自修.工程测量[M].北京:测绘出版社,1994.
[5] 武汉大学测绘学院.实用GPS测量数据处理教程[M].武汉:武汉大学,2001.
[6] 胡伍生,潘庆林,黄腾.土木工程施工测量手册[M].北京:人民交通出版社,2005.
[7] GB/T 18314-2001,全球定位系统(GPS)测量规范[S].
[8] CJJ 8-99,城市测量规范[S].
[9] GB/T 15314-94,精密工程测量规范[S].
[10] Dan Eisensein.Urban soft ground tunnelling.Tunnelling and Underground Construction Society,Singapore,2000.
[11] Hewish Mand Wilson JR.GPS Meets New Challenges[J].IDR,1995,28(10):57-62.